پولييوريثان
الپولييوريثان Polyurethane (PUR وPU)، هو پوليمر يتكون من الوحدات العضوية المربوطة بجذر اليوريثان. يستخدم الپولييوريثان كعازل لإعطاء متانة وحماية للأجسام التي يغطيها من الحرارة أو البرودة أو من التآكل جراء الاستخدامات المكثفة.
التاريخ
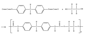
الكيمياء
أنواع الپولييوريثان:
- مرن ومنخفض الكثافة الرغاوية يستخدم في التنجيد والفراش.
- منخفض الكثافة الرغوية يستخدم للعزل الحراري وللموائد المستديرة النوى.
- الناعمة والصلبة المستخدمة في المنصات الهلامية وأيضا في طباعة الأشياء الملفوفة.
وأجزاء الهيكلية.
المواد الخام
الأيزوسينات
الپوليولات
المواد المشتقة
Chain extenders and cross linkers
| Hydroxyl compounds – difunctional molecules | ||||
|---|---|---|---|---|
| Mol. wt | Density (g/cm3) | m.p. (°C) | b.p. (°C) | |
| Ethylene glycol | 62.1 | 1.110 | −13.4 | 197.4 |
| Diethylene glycol | 106.1 | 1.111 | −8.7 | 245.5 |
| Triethylene glycol | 150.2 | 1.120 | −7.2 | 287.8 |
| Tetraethylene glycol | 194.2 | 1.123 | −9.4 | 325.6 |
| Propylene glycol | 76.1 | 1.032 | Supercools | 187.4 |
| Dipropylene glycol | 134.2 | 1.022 | Supercools | 232.2 |
| Tripropylene glycol | 192.3 | 1.110 | Supercools | 265.1 |
| 1,3-Propanediol | 76.1 | 1.060 | −28 | 210 |
| 1,3-Butanediol | 92.1 | 1.005 | — | 207.5 |
| 1,4-Butanediol | 92.1 | 1.017 | 20.1 | 235 |
| Neopentyl glycol | 104.2 | — | 130 | 206 |
| 1,6-Hexanediol | 118.2 | 1.017 | 43 | 250 |
| 1,4-Cyclohexanedimethanol | — | — | — | — |
| HQEE | — | — | — | — |
| Ethanolamine | 61.1 | 1.018 | 10.3 | 170 |
| Diethanolamine | 105.1 | 1.097 | 28 | 271 |
| Methyldiethanolamine | 119.1 | 1.043 | −21 | 242 |
| Phenyldiethanolamine | 181.2 | — | 58 | 228 |
| Hydroxyl compounds – trifunctional molecules | ||||
| Mol. wt | Density (g/cm3) | m.p. (°C) | b.p. (°C) | |
| Glycerol | 92.1 | 1.261 | 18.0 | 290 |
| Trimethylolpropane | — | — | — | — |
| 1,2,6-Hexanetriol | — | — | — | — |
| Triethanolamine | 149.2 | 1.124 | 21 | — |
| Hydroxyl compounds – tetrafunctional molecules | ||||
| Mol. wt | Density (g/cm3) | m.p. (°C) | b.p. (°C) | |
| Pentaerythritol | 136.2 | — | 260.5 | — |
| N,N,N′,N′-Tetrakis (2-hydroxypropyl) ethylenediamine |
— | — | — | — |
| Amine compounds – difunctional molecules | ||||
| Mol. wt | Density (g/cm3) | m.p. (°C) | b.p. (°C) | |
| Diethyltoluenediamine | 178.3 | 1.022 | — | 308 |
| Dimethylthiotoluenediamine | 214.0 | 1.208 | — | — |
المحفزات
المؤثرات السطحية
الإنتاج
الصحة والسلامة
التصنيع
معدات التركيب
الأدوات
التطبيقات
يستخدم في أرضيات مواقف السيارات حيث يعطي حماية من تسرب المياه ولديه مقاومة عالية للتآكل ومن الصعب ان يزول عن الأرضية بسهولة حيث يدوم طلاء أرضية موقف السيارات حوالي 8 إلى 10 سنوات إذا تمت صيانته بشكل دوري ويضاف اليه حبيبات الكوارتز (رمل) ليعطي سطح خشن ويزيد في خاصية منع الانزلاق وهو بشكل عام يقوم بحماية الأسطح البيتونية ويغلق مسام الكونكريت، يستخدم أيضاً في صناعة عجلات لوح التزلج ويستخدم أيضا في مراتب النوم وبدرجات متنوعة من الكثافة بعضها يتشكل بحرارة جسم الإنسان لمزيد من الراحة.
تأثيرات الضوء المرئي
انظر أيضاً
- Thermoset polymer matrix
- Thermoplastic polyurethanes
- Passive fire protection
- Penetrant (mechanical, electrical, or structural)
المصادر
- ^ "A Guide To Glycols". 117-00991-92HYC. The Dow Chemical Company. 1992.
وصلات خارجية
- Center for the Polyurethanes Industry: information for EH&S issues related to polyurethanes developments
- Polyurethane synthesis, Polymer Science Learning Center, University of Southern Mississippi
- Polyurethane Foam Association: Industry information, educational materials and resources related to flexible polyurethane foam
- PU Europe: European PU insulation industry association: (Formerly BING) European voice for the National trade associations representing the polyurethane insulation industry.
- ISOPA: European Diisocyanate & Polyol Producers Association: ISOPA represents the manufacturers in Europe of aromatic diisocyanates and polyols