نقل (اتصال عن بعد)

هوائي مستخدم لنقل إشارة راديوية
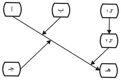
(الشكل -1) حالة تجميع معلومات من النقاط آ، ب، جـ، د1، د2 موجهة إلى النقطة هـ.
الشكل -2) حالة معملين (آ) و(ب) مقودين من م والمعمل (ب) يمكن أن يقوم بمراقبة المعمل (آ).

نقل (اتصال عن بعد) Transmission (telecommunications) هو عملية نقل المعلومات إِلى مسافة بعيدة عن مصدرها للحصول منها على فائدة معينة في النقطة الموجهة إِليها, كالتحكم في آلة ما أو قيادتها أو ضبطها, أو إِجراء قياسات معينة بهدف مراقبة عملها, أو إِرسال الإِشارات من بعد لتنظيم عمل شبكة مواصلات.[1]

ويمكن أن يكون الإِرسال من بعد وحيد الاتجاه كما في حالة التحكم أو القياس من بعد (الشكل 1), أو ثنائي الاتجاه كما في حالة القيادة والضبط من بعد (الشكل 2), أو حالة عمليات التحكم والقياس بين محطة مركزية وعدة محطات محيطية تابعة لها. وقد تكون عملية الإِرسال من بعد دورية أو مبرمجة.

ويمكن أن يكون الإِرسال من بعد وحيد الاتجاه كما في حالة التحكم أو القياس من بعد (الشكل 1), أو ثنائي الاتجاه كما في حالة القيادة والضبط من بعد (الشكل 2), أو حالة عمليات التحكم والقياس بين محطة مركزية وعدة محطات محيطية تابعة لها. وقد تكون عملية الإِرسال من بعد دورية أو مبرمجة.

أقسام نظام الإِرسال من بُعد

(الشكل -3) مخطط مبسط للإرسال من بعد باتجاه واحد.

يتألف أي نظام إِرسال من بعد من ثلاثة أقسام (الشكل 3):

اللاقط (Capture)

ووظيفته التقاط المعلومات وتحويلها إِلى قيمة ملائمة لإِرسالها بوساطة النظام المختار للاستخدام.

قناة الإِرسال (Transmission Channel)

يتم بوساطتها نقل القيمة الممثلة للمعلومات التي قد تكون إِشارة تمثيلية analog أو رقمية digital وذلك بوساطة تيار كهربائي مستمر أو نبضي مرمز coded pulses.

المستقبل (Receiver)

وفيه يتم تلقي الإِشارة وتحويلها ثانية إِلى شكل يناسب استخدامها مباشرة من الجهة الموجهة إِليها.

عوامل تحديد نوع نظام الإِرسال من بُعد

أهم العوامل التي تحدد نوع نظام الإِرسال من بُعد هي:

  • مسافة الإِرسال: ويمكن أن تكون بضع مئات من الأمتار وقد تصل إِلى مئات الكيلو مترات أو آلافها.
  • عدد الحدود أو البنود المراد إِرسالها: كعدد إِشارات القياس أو القيادة أو التحكم من بعد.
  • إِمكان توافر دارات جاهزة لاستخدامها في النظام المطلوب.
  • الشروط المفروضة على نظام الإِرسال كزمن الاستجابة والدقة ومتانة التجهيزات وغيرها.
  • درجة الأمان والسلامة المطلوبة كالتأمين من احتمال حدوث الأخطاء.
  • شروط الاستثمار كحجم النظام وصيانته واستهلاكه.

الإشارة الكهربائية

يقوم اللاقط في معظم الحالات بتحويل المعلومات إِلى إِشارة كهربائية سهلة النقل عبر قناة الإِرسال, ويتطلب في بعض الأحيان استخدام عناصر توافق لكي تصبح هذه الإِشارة ملائمة لقناة الإِرسال. وتكون الإِشارة الكهربائية الممثلة للمعلومات في العادة على أحد شكلين:

  • إِشارة كهربائية متغيرة باستمرار مع الزمن (إِشارة تمثيلية مستمرة) كإِشارة الصوت والموسيقى في أنظمة البث الإِذاعي وأنظمة الاتصال الهاتفي, وإِشارة الصورة والصوت المرافق في أنظمة التلفزة.
  • إِشارة كهربائية نبضية, وفي هذه الحالة يأخذ العامل الممثل للمعلومات قيماً منفصلة ومحددة (متقطعة زمنياً) عددها في أبسط الحالات اثنان صفر وواحد مثلاً كما في حالة أنظمة الاتصالات الرقمية digital communication.

طرائق النقل عبر قناة الإِرسال

يتم النقل عبر قناة الإِرسال وفقاً لإِحدى الطرائق التالية:

استخدام خط نقل سلكي Transmission Line

كخطوط الهاتف مثلاً, ويمكن في هذه الحالة استئجار زوج واحد أو زوجين من خطوط الهاتف العادية مقابل أجرة محددة. ويمكن الاستفادة أيضاً من توتر التغذية المستمر الذي يغذي هذه الخطوط (48 فولط) لنقل إِشارة المعلومات الكهربائية بالتيار المستمر, أو تحويل إِشارة المعلومات إِلى إِشارة كهربائية متناوبة بتردد يقع ضمن مجال الترددات السمعية audio frequency ثم تكبيرها عند الحاجة قبل تطبيقها على خط الهاتف. وتكون خطوط الهاتف عادة على شكل كبلات هوائية أو مطمورة في الأرض.

استخدام التيار الحامل Carrier Current

ويتم ذلك عندما تكون مسافة الإِرسال كبيرة نسبياً فيُستفاد من خطوط نقل الطاقة الكهربائية المنتشرة في أرجاء البلد كافة لنقل إِشارة المعلومات بعد تحميلها على إِشارة كهربائية بتردد عال تسمى «تياراً حاملاً». وفي كثير من الأحيان لا تستخدم هذه الخطوط لنقل تيار حامل واحد فقط بل لنقل عدة تيارات حاملة بحزم ترددية مختلفة, مما يسمح بنقل عدة إِشارات لمعلومات مختلفة في آن واحد, ويمكن أن يكون أحد هذه التيارات مستخدماً لنقل مكالمة هاتفية إِضافة إِلى المعلومات المرسلة.

طرق تحميل إشارة المعلومات

ويتم تحميل إِشارة المعلومات على التيار الحامل بإِحدى الطرائق التالية :

  • الإِقفال أو التعديل بإِزاحة المطال amplitude shift keying or amplitude shift modulation الذي يتضمن تحميل إِشارة المعلومات, على شكل نبضات ذات مطال ثابت, على حامل تيار مستمر تحميلاً يؤدي إِلى تغير المطال فيأخذ إِحدى قيمتين لتمثيل وجود النبضة الممثلة للمعلومات أو عدم وجودها.
  • الإِقفال أو التعديل بإِزاحة التردد frequency shift keying or freq . shift modulation ويتم في هذه الطريقة تغير قيمة تردد التيار الحامل فتأخذ إِحدى قيمتين وذلك بحسب وجود النبضة الممثلة للمعلومات أو عدم وجودها.
  • الإِقفال أو التعديل بإِزاحة الطور phase shift keying or phase shift modulation وتعتمد هذه الطريقة على تغير طور التيار الحامل وذلك ليأخذ هذا الطور قيمة واحدة من قيمتين بحسب وجود النبضة الممثلة للمعلومات أو عدم وجودها. ويجب ملاحظة أن كلمة الإِقفال keying تستخدم عادة عند تحميل التيار الحامل بإِشارة نبضية ذات مطال ثابت وذلك لتمييزها من تعديل modulation التيار الحامل بإِشارة مستمرة غير نبضية أو متقطعة زمنياً.

وتخصص عادة حزمة الترددات من 30 إِلى 90 كيلو هرتز للتيارات الحاملة المستخدمة لنقل المعلومات عامة في حين تخصص حزمة الترددات من 90 إِلى 300 كيلو هرتز للتيارات الحاملة لنقل المكالمات الهاتفية.

استخدام الوصلات الراديوية Radio Electric Links

وهذه الطريقة مستخدمة لنقل المعلومات بعد تحميلها على موجة راديوية radio wave بين محطة رئيسة وعدة محطات محيطية, وحزمة الترددات الأكثر استخداماً لهذه الموجات الراديوية هي من 60 إِلى 80 ميغاهرتز (الميغاهرتز= مليون هرتز). وعند استخدام هذه الطريقة لنقل إِشارة المعلومات التي تأخذ إِحدى حالتين فقط يفضل استخدام التعديل الطوري, وهذه الطريقة ملائمة جداً لنقل إِشارات التحكم أو القياس التي تتطلب دقة عالية. ويمكن زيادة مسافة الاتصال من بضع مئات من الأمتار إِلى بضعة كيلو مترات أو حتى مئات الكيلومترات أو آلافها باستخدام هوائيات إِرسال واستقبال مناسبة.

وعند استخدام هذه الطريقة لنقل إِشارة المعلومات من بعد يفضل أن تكون هذه الإِشارة نبضية, تأخذ إِحدى حالتين فقط, وإِذا لم تكن كذلك فإِنها تحول إِلى هذا الشكل باستخدام مُبدلات تمثيلية رقمية analog to digital converter. ومبدأ عمل هذه المحولات يعتمد على أخذ عينات samples للإِشارة في أزمنة محددة وبتردد يتعلق بحزمة الترددات الأساسية للإِشارة المعنية, لكي لا يقل هذا التردد عن ضعفي عرض حزمة ترددات هذه الإِشارة, وبعد ذلك يتم تكميم quantizing هذه العينات وفق سلم مناسب. ثم ترمّز القيمة الناتجة من التكميم ترميزاً ثنائياً binary code باستخدام عدد صحيح من الواحدات الثنائية Bits لتمثل كل مجموعة من هذه الواحدات الثنائية قيمة عينة واحدة. وعدد الواحدات الثنائية في كل مجموعة يكون ثابتاً, وقيمته تتحدد بالقيمة العظمى العشرية لسلم التكميم, وكل من هذه الواحدات الثنائية يمكن أن تأخذ قيمتين فقط: صفر وواحد. ويتم أخيراً تعديل الحامل الراديوي بطريقة الإِقفال بإِزاحة الطور phase shift keying بين قيمتين محددتين كل منهما تقابل إِحدى حالتي الواحدة الثنائية. وفي طرف الاستقبال تتم عملية معاكسة فيتم استرجاع قطار النبضات الثنائية باستخدام كاشف طور مناسب للحامل المستقبل ثم تحول كل مجموعة من هذه النبضات الثنائية إِلى قيمة نبضية ذات مطال متغير تمثل العينة المرسلة وذلك باستخدام مبدل رقمي/ تمثيلي digital to analog converter وبتمرير هذه النبضات المتغيرة المطال بمرشح تمرير منخفض low pass filter تُستخلص في مخرجه إِشارة المعلومات التمثيلية المستمرة المرسلة من طرف الإِرسال. وتتطلب هذه العمليات أن يكون هناك معالجة دورية cyclic ومتزامنة synchronous بين طرفي الإِرسال والاستقبال ويتم ذلك بإِرسال معلومات مرجعية في بداية كل إِطار frame من أطر المعلومات المرسلة لكي يُستطاع بوساطتها مزامنة النظام.

وتتميز هذه الطريقة بإِمكان إِرسال عدة إِشارات لمعلومات مختلفة المصدر وذلك باستخدام التنضيد أو التجميع بالتقسيم الزمني time devision multiplexing لعينات هذه الإِشارات دورياً في طرف الإِرسال وتوزيع demultiplexing النبضات الناتجة في طرف الاستقبال على نحو مشابه تماماً للتنضيد الذي تم في طرف الإِرسال ليتم توجيه هذه النبضات إِلى الجهة المحددة لها.

وإِضافة إِلى إِمكان استخدام واحدات ثنائية فائضة redundant عن الواحدات الثنائية الممثلة للعينة للاستفادة منها في كشف الأخطاء التي يمكن أن تحدث في أثناء النقل, وذلك باستخدام عمليات منطقية مناسبة تعتمد على مقارنة الإِشارة المرسلة مع إِشارة ذات خواص محددة مسبقاً, تستفيد هذه الطريقة من التطور السريع للدارات المتكاملة المنطقية logic integrated circuits التي أصبحت الآن تنافس بأسعارها ووثوقيتها الدارات المتكاملة التمثيلية analog i.c.

ومن أهم مزايا إِرسال المعلومات من بعد بالشكل الرقمي في وقتنا الحاضر انتشار استخدام الحاسوب الرقمي digital computer والمعالجات الصغرية micro processer في عدد كبير من التطبيقات العملية للتحكم والقيادة والقياس من بعد إِذ يمكن استخدام المعطيات الرقمية المرسلة والممثلة للمعلومات مباشرة من قبل هذه الآلات ومعالجتها وإِعطاء الجهة المستثمرة نتائج هذه المعالجة على وجه ملائم لاستخلاص الغرض المنشود.

انظر أيضا

المصادر

  1. ^ محمد صباغ. "الإِرسال من بُعد". الموسوعة العربية. Retrieved 2012-03-07.

مراجع للإستزادة

  • أحمد عمر يوسف ومحمد صباغ, هندسة الاتصالات اللاسلكية (جامعة دمشق 1983).
  • تاج الدين جركس, هندسة الاتصالات السلكية (جامعة دمشق 1982).
  • أحمد أزرق, بنية الحاسبات الإِلكترونية وتصميمها (جامعة دمشق 1984).
  • KENNEDY, Electronic Communication Systems (Mc Graw Hill 1977).
  • HALLIWELL, Advanced Communication Systems ( STC Monograph 1974)
الكلمات الدالة: