كيمياء عضوية فيزيائية

الكيمياء العضوئية الفيزيائية Physical organic chemistry، مصطلح صاغه لويسهامت عام 1940، يشير إلى تخصص في الكيمياء العضوية يركز على العلاقات بين البنى الكيميائية والتفاعلية، وبصفة خاصة، في تطبيق الأدوات التجريبية للكيمياء الفيزيائية على دراسة الجزيئات العضوية. تتضمن النقاط المحورية التي تقوم عليها الدراسة [[حركية كيميائية|معدلاتي] التفاعلات العضوئية، الاستقرار الكيميائي النسبي للمواد البادئة، المتوسطات المتفاعلة، تحول الحالات، ومنتجات التفاعلات الكيميائية، والجوانب الغير تساهمية للذوبان والتفاعلات الجزيئية التي تؤثر على التفاعلية الكيميائية. توفر مثل هذه الدراسات أطر العمل النظرية والعملية للفھم کیفیة تأثیر التغییرات البنيوية في الحلول أو سیاقات الحالة الصلبة المؤثرة على آلية معدل التفاعل لكل تفاعل عضوئي معني.

التطبيق

التخصص

البنية الكيميائية والديناميكا الحرارية

الكيمياء الحرارية


التحليل المطابق

التفاعلات لا تساهمية

مقال رئيسي: ربط لا تساهمي
Cryptand with a metal cation demonstrating host-guest chemistry. Cryptands are tricyclic compounds that tightly encapsulate the guest cation via electrostatic interactions (ion-dipole interaction).


كيماء حمض-قاعدة

مقال رئيسي: تفاعل حمض-قاعدة
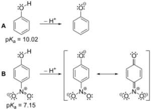
The principles of Induction and resonance can be used to explain the different acid dissociation constant (or pKa) values for phenol (A) and p-nitrophenol (B). For B, the electronegative nitro group stabilizes the conjugate base (phenoxide anion) via induction and through resonance by delocalizing the negative charge.


الحركية

مقال رئيسي: حركية كيميائية

قوانين المعدل

مقال رئيسي: معادلة المعدل

التحفيز

مقال رئيسي: تحفيز

أثر النظير الحركي

الآثار البديلة

آثار المذيب

مقال رئيسي: آثار المذيب


Solvent effects and the epimerization of a chiral Grignard reagent.[1][بحاجة لمصدر غير رئيسي] The cis form of the reagent is stabilized, and so more strongly favored, in the reaction solvent THF, over diethyl ether; a larger equilibrium constant is observed in THF.


كيمياء الكم

مقال رئيسي: كيمياء الكم


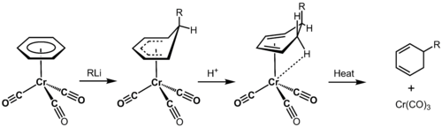
Chromium's unoccupied d-orbitals mediate electron withdrawal from benzene, greatly enhancing its electrophilicity.


المطيافية، قياس المطيافية وعلم البلورات

مطيافية NMR وEPR

Splitting of nuclei spin states in an external magnetic field


مطيافية الذبذبات

The first eight states in a quantum harmonic oscillator. The horizontal axis shows the position x, and the vertical axis shows the energy. Note the even spacing of the energy levels: all excitations between adjacent states require the same energy, and therefore absorb the same wavelength of light


مطيافية الإثارة الإلكترونية

مطيافية الكتلة

مقال رئيسي: مطيافية الكتلة

علم البلورات

مقال رئيسي: علم البلورات
Single crystal structure of a fullerene caught in molecular tweezers.


انظر أيضاً

قراءات إضافية

عامة

  • Peter Atkins & Julio de Paula, 2006, "Physical chemistry," 8th Edn., New York, NY, USA:Macmillan, ISBN 0716787598, see [1], accessed 21 June 2015. [E.g., see p. 422 for a group theoretical/symmetry description of atomic orbitals contributing to bonding in methane, CH4, and pp. 390f for estimation of π-electron binding energy for 1,3-butadiene by the Hückel method.]
  • Thomas H. Lowry & Kathleen Schueller Richardson, 1987, Mechanism and Theory in Organic Chemistry, 3rd Edn., New York, NY, USA:Harper & Row, ISBN 0060440848, see [2], accessed 20 June 2015.
  • Michael B. Smith & Jerry March, 2007, "March's Advanced Organic Chemistry: Reactions, Mechanisms, and Structure," 6th Ed., New York, NY, USA:Wiley & Sons, ISBN 0470084944, see [3], accessed 19 June 2015.
  • Francis A. Carey & Richard J. Sundberg, 2006, "Title Advanced Organic Chemistry: Part A: Structure and Mechanisms," 4th Edn., New York, NY, USA:Springer Science & Business Media, ISBN 0306468565, see [4], accessed 19 June 2015.

تاريخ

  • Hammond, George S. (1997). "Physical organic chemistry after 50 years: It has changed, but is it still there?" (PDF). Pure Appl. Chem. 69 (9): 1919–22. doi:10.1351/pac199769091919. Retrieved 20 June 2015. [An outstanding starting point on the history of the field, from a critically important contributor, referencing and discussing the early Hammett text, etc.]

كيمياء حرارية

  • L. K. Doraiswamy, 2005, "Estimation of properties of organic compounds (Ch. 3)," pp. 36–51, 118-124 (refs.), in Organic Synthesis Engineering, Oxford, Oxon, ENG:Oxford University Press, ISBN 0198025696, see [5], accessed 22 June 2015. [This book chapter surveys a very wide range of physical properties and their estimation, including the narrow list of thermochemical properties appearing in the June 2015 WP article, placing the Benson et al. method alongside many other methods. L. K. Doraiswamy is Anson Marston Distinguished Professor of Engineering at Iowa State University.
  • Karl K. Irikura & David J. Frurip, 1998, "Computational thermochemistry," in Computational Thermochemistry: Prediction and Estimation of Molecular Thermodynamics (Vol., 677 of ACS Symposium Series, Karl K. Irikura, David J. Frurip, Eds.), pp. 1–18, ISBN 0841235333, DOI 10.1021/bk-1998-0677.ch001, Washington, DC, USA:American Chemical Society see [6] and [7], accessed 22 June 2015. [An ACS Symposium Series critical review of broad approaches to computing thermochemical properties, including discussion of the limitation of group additivity methods.]

المصادر

  1. ^ خطأ استشهاد: وسم <ref> غير صحيح؛ لا نص تم توفيره للمراجع المسماة GaoJACS13
الكلمات الدالة: