قواعد بالدوين
قواعد بالدوين Baldwin's rules هي مجموعة من الأسس تحدد الميل النسبي لتفاعلات إغلاق الحلقة في المركبات الحلقية الأليفاتية. وتم إقتراحها بواسطة جاك بالدوين عام 1976.
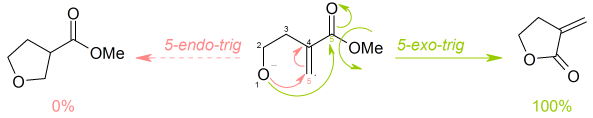
وتحدد طريقة إغلاق الحلقة إلى خارجي وداخلي, إعتمادا على ما إذا كان الهجوم يحدث بتكسير رابطة خارج أو داخل الحلقة, بالترتيب. كما تحدد أيضا التفاعلات بنوع مكان محب الألكترونات, وما إذا كان مائل (تهجين sp) أو ثلثي (تهجين sp2) أو رباعي (تهجين sp3) على الترتيب. وإكتشف بالدوين أن متطلبات حدوث تداخل للمدار لتكوين الروابط يفضل بعض الترتيبات المعينة من حجم الحلقة والأوضاع خارجي\داخلي\مائل\ثلثي\رباعي.
| Baldwin dis/favoured ring closures | ||||||||||
|---|---|---|---|---|---|---|---|---|---|---|
| 3 | 4 | 5 | 6 | 7 | ||||||
| type | exo | end | exo | end | exo | end | exo | end | exo | end |
| tet | √ | √ | √ | X | √ | X | √ | |||
| trig | √ | X | √ | X | √ | X | √ | √ | √ | √ |
| dig | X | √ | X | √ | √ | √ | √ | √ | √ | √ |
التطبيقات
| Dis/favored ring closures for enolates | ||||||||||
|---|---|---|---|---|---|---|---|---|---|---|
| enolendo | enolexo | |||||||||
| type | 3 | 4 | 5 | 6 | 7 | 3 | 4 | 5 | 6 | 7 |
| exo-tet | X | X | X | √ | √ | √ | √ | √ | √ | √ |
| exo-trig | X | X | X | √ | √ | √ | √ | √ | √ | √ |
المراجع
- جريدة مجتمع الكيمياء، 1976, 734.
المصادر
- ويكيبيديا الإنجليزية.
This article may include material from Wikimedia licensed under CC BY-SA 4.0. Please comply with the license terms.
