صيغة بنيوية

عديد من المركبات الكيميائية, وخاصة الهيدروكربونات, يمكن أن تتواجد في أشكال هندسية عديدة. تمثل الصيغة البنيوية ترتيبات الذرات بطريق لا تستطيعها المعادلة الكيميائية.

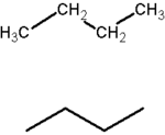
وأحد مميزات اصيغ البنيوية هى قدرتها على وصف بناء المركب (شاهد متزامر) " isomer". ومثل بسيط لهذا يمكن أن يلاحظ في أحد الهيدروكربونات, البيوتان, C4H10. يمكن للأربع ذرات كربون أن تترتب في شكل خطي, أو في شكل متفرع على شكل حرف "T". ويعرف الترتيب الأول بإسم "أورثوبوتان" أ, "إن-بوتان", أما الترتيب الثاني فيعرف بإسم "أيزوبيوتان".

المعادلة الجزيئية: C4H10</sub


الصيغة البنيوية:

لاحظ أن يعبر الشكل الخطي للمركبات العضوية في المعادلة البنائية أن يكون هناك ذرات كربون في أخر الخط (السلسلة). وكل ذرة كربون بدورها يفترض أنها مرتبطة بعدد ذرات الهيدروجين الكافية ليصبح لكل ذرة كربون أربع روابط. وموضح بالشكلين كل من المعادلة البنائية كاملة ومختصرة.

"إن"-بوتان
أيزو بوتان

ويمكن وصف الصيغة البنيوية بدقة عن طريق تسمية IUPAC. فمثلا في حالة أيزوبيوتان, الإسم الصحيح طبقا لتسمية IUPAC هو ميثيل بروبان.

البناء الحلقي

يمكن تمثيل الشكل الحلقي طبقا لعدد ذرات الكربون بها.

وصلات خارجية

المصادر

  • ويكيبيديا الإنجليزية.