تردد فائق العلو

(تم التحويل من UHF)
أرقام حزم الراديو حسب ITU

4 5 6 7 8 9 10 11 12

رموز حزم الراديو حسب ITU

VLF LF MF HF VHF UHF SHF EHF

NATO Radio bands

A B C D E F G H I J K L M

حـِزم الرادار حسب IEEE

HF VHF UHF L S C X Ku K Ka V W

edit

التردد فائق العلو إنگليزية: Extremely high frequency (EHF) هو حزمة الأمواج الكرومغناطسية الممتدة بين تردد 30 غيغاهرتز و300 غيغاهرتز، والتي تتميز بطول أمواج يتراوح ما بين 10 ملم إلى 1 ملم، ومن هنا جاءت تسميتها بالموجات الميليمترية.

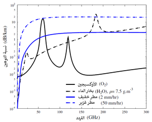
تتميّز حزمة الأمواج المليمترية بقصر مدياتها بسبب امتصاص الغازات للأمواج، خاصة الأوكسيجين وبخار المياه المتواجدين بكثافة في الغلاف الجويّ لذلك تستخدم في الاتصالات القصيرة المدى فقط. يشتد امتصاص الغازات لموجات الطيف المليمتري كلما ارتفع تردد الموجة، لتصل مديات الأمواج في أعلى الطيف المليمتري إلى بضعة مترات فقط.

مليمتر.png

نظرة تاريخية

يرجع تاريخ التكنولوجيا الميلمترية إلى ما قبل تجارب ماركوني الرائدة في الاتصالات اللاسلكية، تحديدا إلى عام 1895 مع عروض جاگديش تشاندرا بوس الشهيرة. وقد قسمت مراحل تطور هذه التكنولوجيا إلى ثلاثة مراحل رئيسة[1]: المرحلة الأولى امتدت ما بين 1890 إلى ما قبل انتهاء الحرب العالمية الثانية عام 1946. تلتها المرحلة الثانية من عام 1947 حتى عام. والمرحلة الثالثة امتدت ما بين عامي ال1965 وعام 1984. تميّزت كل مرحلة من هذه المراحل بظهور تكنولوجيا جديدة[2].

المرحلة الأولى

استطاع هيرتز استعراض نظريات ماكسويل تجريبيا لأول مرة ما بين عامي 1887 و1888 في حزمة التردد فائق العلو[3]. وفي عام 1895 قام الفيزيائي الروسي ليبيدو بتجربة إرسال واستقبال إشارات بطول موجة 6 ملم[4]. كما استطاع بوز في العام نفسه تشغيل جرس وإطلاق صاعق انفجاري عن بعد باستخدام أمواج 60 غيغاهرتز. نجح بوز بإجراء تجربته مستخدما أدوات بدائية تضمنت مشعاع ومطياف وعاكسات اسطوانية ومسطحة باللإضافة إلى منشور مزدوج وهوائيّ بوقيّ.

في البداية فشلت مرحلة ما قبل الحرب العالمية الثانية بتسجيل أي تطورات ملحوظة نظرا إلى عدم استقرار مرسل الفرجة الشرارية المستخدم في تلك الفترة إلى أن تم استحداث مغنيطرون جديد[5] في عام 1934. تم استخدام المغنيطرون الجديد في إجراء تجارب إرسال وانتشار على تردد 47 غيغاهرتز. كما استعمل في بداية الحرب العالمية الثانية على رادارات الطائرات بدقة عالية تصل إلى ما دون المتر الواحد[6][7]. ولتحسين دقة الرادارات لضرب الأهداف من المقاتلات الجويّة تم اعتماد موجات قريبة من التردات المليمترية[1] ليُكتشف بعدها تأثير الغازات في الغلاف الجويّ على الترددات العالية، خاصة غاز الأوكسيجين على موجات الـ60 غيغاهرتز[8].

المرحلة الثانية

أسهم التقدم التكنولوجي الذي شهدته الحرب العالمية الثانية في بروز تقنيات جديدة نقلت التكنولوجيا المليميترية إلى مرحلة جديدة. فقام لوبسير وفريقه في عام 1949 بدراسة رصد موجات على تردد 100 غيغاهرتز و200 غيغاهرتز لتلحقها دراسة أخرى في عام 1953 لقياس الترددات بطول أمواج بين 1 ملم و2 ملم. وفي الخمسينيات من القرن المنصرم قام الجيش الأمريكي بإدخال ردارات جديدة بارتداد ذبذبةٍ كهْرَمَغْناطيسيّة على تردد 70 غيغاهرتز. تركزت الأبحاث في مرحلة ما بعد الحرب العالمية الثانية على قياس الترددات المليمترية بين 30 و220 غيغاهرتز بهدف استخدامها في الردارات والاتصالات القصيرة المدى.

المرحلة الثالثة

أشيح النظر عن دراسة الترددات المليمتيرة في الستينات بعد ابتكار التكنولوجيا الليزرية ليعود مجددا مع دخول تقنية ديود إمبات الذي استخدم لتوليد موجات بتردد 84 غيغاهرتز.

شهدت المرحلة الثالثة اسهامات هامة للتكنولوجيا المليمترية في التقنيات العسكرية وعلم الفلك الراديوي والاتصالات الساتلية، خاصة في سلسلة الامواج الكهرومغناطيسية بين 40 و 75 غيغاهرتز وبين 75 و 110 غيغاهرتز. كما أنه تم اقتراح استخدام تردد الـ60 غيغاهرتز لأول في الاتصالات التجارية عام 1985. كما طرح اعتماد طيف الترددات بين 35 و60 غيغاهرتز في اتصالات السكك الحديدية الفائقة السرعة وتردد الـ60 غيغاهرتز في اتصالات الطائرات لتفادي تداخل الترددات الناجم عن استخدام التردد فوق العالي.

عودة ظهور الموجات المليمترية إلى الواجهة

تواجه الشبكات اللاسلكية اليوم مشكلة الاكتظاظ في طيف الترددات الرادوية الذي تعمل فيه شبكات الهاتف المحمول والشبكة المحلية اللاسلكية وسائر التطبيقات التجارية.

توقعت الدراسات العلمية مع نهاية العقد الأول من الألفية الثانية أن تزايد الطلب على السعات سيصل إلى أكثر من ألف مثل مع نهاية العقد الثاني وبداية العقد الثالث[9]. وفي دراسة أجرتها شركة سيسكو عام [10]2016 كشفت إلى أن حركة البيانات المنقولة عالميا قد تضاعفت 4000 مثلا في العشر سنوات السابقة وحوالي 400،000،000 مثل في الخمسة عشر سنة السابقة. توقعت الدراسة أيضا أنه ومع حلول العام 2021 ستتخطى حركة البيانات المنقولة عالميا عتبة الـ 30 إكسابايت شهريا بزايدة تصل إلى خمسة أضعاف مقارنة بعام 2016 (6،2 إكسابايت) وثمان أضعاف مقارنة بعام 2015 (3،7 إكسابايت). وفي دراسة أخرى أجرتها شركة إيركسون[11] في نفس العام توقعت أنه ومع انتهاء العقد الثاني من الألفية الحالية سيصل أعداد المشتركين في خدمات الإتصال الحالية (الجيل الرابع وما دون) إلى حوالي 7،7 مليار مشترك. وتبيّن في دراسة أجرتها إيركسون في عام 2019 أن أعداد المشتركين ناهز الثمانية مليار مشترك[12]. هذه الزيادة الانفجارية في الطلب على خدمات الاتصال حثّت الباحثين والشركات الكبرى على إيجاد حلول جذرية لتلبية متطلبات السوق المستقبلية.

هناك ثلاثة حلول مفترضة لزيادة السعة في الاتصالات اللاسلكية  وهي:  تطوير خوارزميات جديدة لمعالجة الإشارة (Advanced signal processing techniques)، تكثيف شبكات الاتصال عبر استخدام الخلايا الصغيرة (cells densification) بالإضافة إلى نقل الإشارات على رقعة جديدة كاملة من الطيف (new bandwidth allocation)  وهو أنجع الخيارات. هذه الافتراضات الثلاث كانت الركيزة الأساس لانطلاق الجيل الخامس من شبكات الاتصال. ولهذه الأسباب تم اعتماد الموجات المليمترية كركيزة أساسية لجيل الشبكات القادم لوفرة الحزمات المجانية وشبه المجانية وحتى المرخّصة بشكل كبير.

خصائض الانتشار

Attenuation.png

تختلف خصائص انتشار الموجات المليمترية عن الموجات الأقل أطوال موجية، خاصة التلف الهائل الذي يلحق بالإشارات بسبب الغازات والأمطار وضعفها في اختراق المواد والأجسام.

الاستخدامات

المصادر

  1. ^ أ ب J. C. Wiltse, “History of Millimeter and Submillimeter Waves,” IEEE Transactions on Microwave Theory and Techniques, vol. 32, pp. 1118–1127, Sep 1984.
  2. ^ Ibrahim Hemadeh,"Transceiver Design for Millimetre-Wave Communications: A space-Time-Frequency Multi-Functional Processing Approach", PhD Thesis, University of Southampton.
  3. ^ D. Baird, R. Hughes, and A. Nordmann, Heinrich Hertz: Classical Physicist, Modern Philosopher. Boston Studies in the Philosophy and History of Science, Springer Netherlands, 2013.
  4. ^ P. N. Lebedew, “Ueber Die Doppelbrechung Der Strahlen Elektrischer Kraft,” Annalen der Physik und Chemie, vol. 56, pp. 1–17, Jul 1895.
  5. ^ C. E. Cleeton and N. H.Williams, “ElectromagneticWaves of 1.1 cmWave-Length and the Absorption Spectrum of Ammonia,” Phys. Rev., vol. 45, pp. 234–237, Feb 1934.
  6. ^ H. A. H. Boot and J. T. Randall, “Historical Notes on The Cavity Magnetron,” IEEE Transactions on Electron Devices, vol. 23, pp. 724–729, Jul 1976.
  7. ^ E. L. Ginzton, “The $100 Idea,” IEEE Transactions on Electron Devices, vol. 23, pp. 714–723, Jul 1976.
  8. ^ R. Beringer, “The Absorption of One-Half Centimeter Electromagnetic Waves in Oxygen,” Phys. Rev., vol. 70, pp. 53–57, July 1946.
  9. ^ L. Hanzo, H. Haas, S. Imre, D. O’brien, M. Rupp, and L. Gyongyosi, “Wireless Myths, Realities, and Futures: From 3G/4G to Optical and Quantum Wireless,” Proceedings of the IEEE, vol. 100, pp. 1853–1888, May 2012.
  10. ^ Cisco, “Cisco Visual Networking Index: Global Mobile Data Traffic Forecast Update, 2015–2020,” February 2016.
  11. ^ Ericsson, “Ericsson Mobility Report,” June 2016.
  12. ^ Ericsson, “Ericsson Mobility Report,” November 2019.

وصلات خارجية