استقطاب (موجات)

(تم التحويل من Polarization (waves))

الاستقطاب Polarization، من أهم خصائص الموجات الكهرطيسية لأنها موجة مستعرضة. والجدير بالذكر أن الموجات الطولية لا يحدث لها استقطاب كما هو الحال في الموجات الصوتية.

واستقطاب الضوء polarization of light يعني أن يكون للاهتزازة الضوئية حول اتجاه انتشارها منحى معين ثابت، ويتم استقطاب الضوء الطبيعي بالانعكاس أو بالانكسار المضاعف، ويمكن أن يكون هذا الاستقطاب، وفي شروط معينة، مستقيماً أو دائرياً أو إهليلجياً.

تاريخ

استطاع العالم هويْغنز Huygens في أواخر القرن السابع عشر تفسير انعكاس الضوء وانكساره بعلاقات رياضية تعتمد على فرضية تموجات «الأثير»، وقد مكَّنته هذه الفرضية من وضع قوانين دقيقة في ظاهرة الانكسار المضاعف (المزدوج) birefringence الذي يحدث في بلورة الكلْسيت (كربونات الكلسيوم CaCO3)، وهي الظاهرة التي لاحظها أول مرة إيراسْموس Erasmus عام 1669. ولكن لم تتضح ظاهرة استقطاب الضوء إلا في عام 1808 عندما راقب مالوس Malus انعكاس ضوء الشمس عن الزجاج من خلال بلورة الكلسيت، ورأى صورتين للشمس ولاحظ أنه إذا أديرت البلورة اشتد ضياء إحدى الصورتين وضعف ضياء الأخرى، وأنه عندما تكون شدة إحداهما عظمى تكون شدة الأخرى صغرى. وقد أدهشت هذه الظاهرة علماء ذلك العصر الذين رفدوا تلك الظاهرة بمعلومات جديدة. فآراغو Arago مثلاً اكتشف الظواهر اللونية في الاستقطاب اللوني، وبيو Biot اكتشف ظاهرة الاستقطاب الدوراني بدراسة تأثير بعض المواد كالسكريات في الضوء المستقطب. وقد ثبتت صحة هذه الاكتشافات بفضل الأبحاث التي قام بها بروستر Brewster. ومع ذلك لم يكن باستطاعة النظرية الموجية التي قال بها هويْغنز، أو نظرية الإصدار التي قال بها نيوتن أن تشرح الأسباب التي تجعل الضوء المنعكس عن الزجاج أو الذي اخترق بلورة الكلسيت يتمتع بخواص الاستقطاب وأن يكون له منحى اهتزاز معين وثابت.

وكان فرينل Fresnel أول من تقدم بشرح مُرْضٍ عام 1821، وذلك بافتراض أن الضوء يتولد عن اهتزاز «الأثير» اهتزازاتٍ عرضانية (عمودية على منحى انتشارها)؛ وجاء الحل النهائي الصحيح لهذه المسألة على يد مكْسِويل Maxwel عام 1869، إذ بينت معادلات مكسويل أن الضوء يتكون من موجات كهربائية مغنطيسية(كهرمغنطيسية) يمكنها أن تنتشر في الخلاء دونما حاجة إلى حامل مادي كالأثير الذي كان العلماء يفترضون وجوده. وتدل النظرية مؤيَّدةً بالتجربة على أن المتجه الكهربائي في الموجة الكهرمغنطيسية هو وحده من دون المتجه المغنطيسي المسؤول عن الظواهر الضوئية، لذلك يمكن القول إن المتجه الكهربائي هو الذي يمثّل المتجه الضوئي أو الاهتزازة الضوئية. وقد دلت تجارب انطفاء الاهتزازة الضوئية انطفاءً تاماً على أن هذه الاهتزازة عرضانية، وأنه ليس لها أي مركبة طولية وفق منحى انتشارها. ويتصف الضوء الطبيعي (وهو الذي يصدر مباشرة من المنبع المضيء) بأن اهتزازاته الضوئية تتخذ في مدة قصيرة جداً (0.10 ثانية)، هي مدة دوام التأثير على شبكية العين، كل المناحي العمودية على الشعاع الضوئي عشوائياً، لذلك يمكن أن تعدَّ اهتزازة الضوء الطبيعي مؤلفةً من اهتزازتين متعامدتين متساويتين سعة وغير مترابطتين incoherent. أما اهتزازة الضوء المستقطب فهي ذات منحى ثابت محدد. ويكون هذا المنحى مستقيماً إذا كان الاستقطاب مستوياً أو مستقيماً، ويكون لولبياً إهليلجياً في حالة الاستقطاب الإهليلجي أو لولبياً دائرياً في حالة الاستقطاب الدائري.

معنى الاستقطاب

ولتوضيح معنى الاستقطاب نعتبر الذي يمثل موجة عرضية تنتشر في حبل يهتز. وهذه الموجة عرضية لأنها تنتشر على طول الحبل الذي يهتز في اتجاه عمودى على اتجاه انتشار الموجة.

المستقطب في هيئة شبكة مصبّعة يسمح بنفاذ الموجة المهتزة عرضيا في نفس اتجاه فتحات الشبكة ويمنع الأشعة الأخرى المهتزة في اتجاهات أخرى.

نلاحظ في الشكل أنه إذا كان اهتزاز الموجة يحدث في اتجاه الفتحة فإن الموجة ستنفذ خلال الفتحة وفي هذه الحالة تسمى موجة مستقطبة خطيا linearly polarized wave أي أن الموجة تمر في الفتحة إذا كان اتجاه استقطابها موازيا لاتجاه الفتحة أما عندما تكون الفتحة متعامدة مع اتجاه استقطاب الموجة فإن الموجة لا تمر. ويسمى الاتجاه الذي يحدث فيه اهتزاز الموجة المستقطبة خطيا باتجاه الاستقطاب polarization axis وإذا اعتبرنا الموجة الكهرومغناطيسية سنجد أن الموجة تنتشر في اتجاه محور السينات مثلا أو المحور x ويتذبذب المجال الكهربى في اتجاه محور الصادات أو المحور y بينما يتذبذب المجال المغناطيسى في اتجاه المحور ع أو.المحورz

هذه الموجة مستقطبة خطيا ويؤخذ اتجاه المجال الكهربى على أنه اتجاه الاستقطاب أو محور الاستقطاب. وعادة لا يذكر المجال المغناطيسى للسهولة ولأنه دائما عمودى على المجال الكهربى. أما الموجات الكهرومغناطيسية التي تنبعث من مصدر ضوئي عادى كفتيل المصباح الكهربى مثلا فإنها تكون غير مستقطبة unpolarized وفي هذه الحالة يتذبذب المجال الكهربى للضوء الغير مستقطب في جميع الاتجاهات مع كونه متعامدا مع اتجاه انتشار الضوء. وفي حالة الضوء الغير مستقطب يمكن تحليل المجال الكهربى إلى مركبتين في اتجاهين متعامدين كلاهما متعامد مع اتجاه انتشار الموجة

أنواع الاستقطاب

وللاستقطاب أنواع منها:

الاستقطاب بالانعكاس

إن أبسط الطرائق المتبعة لتوليد ضوء مستقطب استقطاباً مستقيماً هي طريقة الانعكاس الزجاجي (الانعكاس عن السطح الفاصل بين وسطين عازلين كالهواء والزجاج مثلاً). ويمكن إيضاح هذا الاستقطاب بإسقاط ضوء طبيعي وحيد اللون على السطح المستوي للوح زجاجي (مرآة مستوية) إن الضوء الطبيعي، كما سبق ذكره، يُعدّ مؤلفاً من اهتزازتين عرضانيتين متعامدتين وغير مترابطتين وبذلك يصبح الضوء المنعكس مستقطباً استقطاباً مستقيماً، ويوصف اللوح الزجاجي في هذه الحالة بأنه مقطِّب

إن الضوء الطبيعي، كما سبق ذكره، يُعدّ مؤلفاً من اهتزازتين عرضانيتين متعامدتين وغير مترابطتين، ويُرمز إلى الاهتزازة التي تقع في مستوي الورود بالحرف (م) وللتي تكون عمودية على هذا المستوي بالحرف (ع). إن تطبيق معادلات مكسويل على الانعكاس الزجاجي يبين أن شدة الانعكاس، معطاة بمعامل الانعكاس (نع)، ليست واحدة بالنسبة للاهتزازتين (م) و (ع) وأن الشدتين تعطيان بما يلي:

307-1.jpg
307-11.jpg


حيث د: زاوية الورود و دَ = زاوية الانكسار، ويربط بينهما قانون سنيل ـ ديكارت:

جب د=ن جب دَ

حيث ن: قرينة الانكسار المطلقة للزجاج من أجل الضوء الوحيد اللون المستعمل.

إن رسم الخط البياني لتغيّر كلٍ من نعم ونعع بدلالة زاوية الورود (د) يعطي الشكل (1)، الذي يتبين منه أن نعم=\ من أجل زاوية ورود معينة. وتدل صيغة نعم في العلاقة (1) على أن ذلك يحدث عندما

307-13.jpg


وينتج من العلاقتين (2) و (3) أن نعم تنعدم عندما تتحقق العلاقة:

307-14.jpg

حيث دب: زاوية الاستقطاب، أو زاوية بروستر (نسبة للعالم بروستر) إذن فمن أجل هذا الورود ومن أجله فقط تنعكس الاهتزازة (ع) وحدها وهي العمودية على مستوي الورود، وبذلك يصبح الضوء المنعكس بالزاوية دب مستقطباً استقطاباً مستقيماً، ويوصف اللوح الزجاجي في هذه الحالة بأنه مقطِّب polarizer. وتبين العلاقة (4) طريقة سهلة وبسيطة لقياس قرائن انكسار المواد العازلة.

ويتبين من الشكل (1) أنه عندما لايكون الورود ناظمياً (د=0) أو مماسياً (د=90ْ) أو بروسترياً (د=دب)، تكون شدتا الانعكاس نعم ونعع مختلفتين، أي إن الضوء المنعكس حينئذ يكون مستقطباً استقطاباً جزئياً بسبب الاختلاف بين سعتيْ الاهتزازتين (م) و(ع). وكذلك يكون الضوء المنكسر في اللوح الزجاجي والبارز منه لأن الأشعة المنكسرة تتضمن دائماً بعضاً من كلا الاهتزازتين بنسب مختلفة.

ويستقطب الضوء الطبيعي عندما ينعكس انعكاساً معدنياً أي عن سطح ناقل للكهرباء، غير أن هذا الاستقطاب لا يكون تاماً بل جزئيٌ تسود فيه الاهتزازة (ع) العمودية على مستوى الورود. ويكون الاستقطاب أشد ما يكون عندما تبلغ زاوية الورود قيمة خاصة تتعين بالعلاقة (4) ذاتها. ويبين الشكل (1) المنحنيين في حالة الانعكاس المعدني.

قانون مالوس

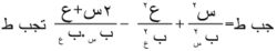
إذا سقط الضوء المستقطب المنعكس عن لوحٍ زجاجي (مقطِّب) على لوح زجاجي ثانٍ (مرآة) بزاوية ورود تساوي زاوية بروستر دب فإن التجربة تبيّن أن شدة الضوء المنعكس عن اللوح الثاني تكون عظمى إذا كان مستويا الورود على اللوحين، الأول والثاني، متوازيين، وتكون منعدمة إذا كانا متعامدين. ويوصف اللوح الثاني بأنه محلِّل analyser لأنه يكشف استقطاب الضوء الساقط عليه.

307-2.jpg


وإذا كانت يه الزاوية بين مستويي الورود على اللوحين، وكانت ب0 سعة الاهتزازة الضوئية الساقطة على المحلل (الشكل 2)، فيمكن تحليل هذه الاهتزازة إلى مركبتين: الأولى م حـ موازية لمستوي الورود على المحلل فتنعدم، والثانية م ب عمودية على هذا المستوي فتنعكس، ولكن سعتها تساوي: ب= ب0 تجب يه، ولما كانت شدة الاهتزازة تتناسب مع مربع سعتها، فإن شدة الاهتزازة المنعكسة عن المحلل تساوي:

ش=ش0تجب2يه(قانون مالوس) (5)

حيث ش: شدة الضوء المستقطب الساقط على المحلّل. فإذا توازى مستويا الورود يه=\ْ كانت شدة الاهتزازة المنعكسة عن المحلل عظمى وتساوي ش0، وإذا تعامد المستويان (يه= 90ْ) انعدمت هذه الاهتزازة وانطفأ الضوء بعد المحلل.

إن تناسب ش مع تجب2يه يصح من أجل كل أنواع المقطبات والمحللات، غير أنه ينبغي في حالة المحللات النافذة (المقطبات بالانكسار المضاعف) أن يؤخذ بالحسبان مايفقده الضوء بالامتصاص في أثناء نفوذه من المحلل. لذلك يُضرب الطرف الأيمن من العلاقة (5) بثابت (ثا) أقل من الواحد وتتوقف قيمته على طبيعة المحلل: ش=ثا ش0 تجب2يه (6)

ويستفاد من قانون مالوس هذا في المقارنة بين شدات المنابع الضوئية بإسقاط أضوائها على مقطب يليه محلل.

الاستقطاب بالانكسار المضاعف

تقسم الاوساط الفيزيائية إلى قسمين :

  • متماثل المناحي isotropic: كالغازات والسوائل
  • مختلف المناحي anisotropic:كبلورة الكلسيت

وتتصف الأوساط متباينة المناحي بأنه يحدث فيها انكسار مضاعف (مزدوج). فإذا وضعت صفيحة من الكلسيت على رقعة من الورق الأبيض رُسمت عليها نقطة. فإنه يُرى لهذه النقطة صورتان (خيالان) حين يُنظر إليها ناظمياً. وحين تُدار الصفيحة في مستويها تظل إحدى الصورتين ثابتة في حين تدور الصورة الأخرى حولها. وتوصف البلورة بأنها أحادية المحور إذا كان لها محور ضوئي واحد، وتوصف بأنها ثنائية المحور إذا كانت ذات محورين ضوئيين.

يوصف الوسط بأنه متماثل المناحي isotropic إذا كانت خواصه الفيزيائية واحدة في كل المناحي كالغازات والسوائل والأجسام المتبلورة من الزمرة المكعبية، أما الأجسام المتبلورة من الزمر الأخرى فتوصف بأنها متباينة المناحي anisotropic، مثل بلورة الكلْسيت. وتتصف الأوساط متباينة المناحي بأنه يحدث فيها انكسار مضاعف (مزدوج). فإذا وضعت صفيحة من الكلسيت على رقعة من الورق الأبيض رُسمت عليها نقطة، فإنه يُرى لهذه النقطة صورتان (خيالان) حين يُنظر إليها ناظمياً. وحين تُدار الصفيحة في مستويها تظل إحدى الصورتين ثابتة في حين تدور الصورة الأخرى حولها. وتبطل ظاهرة الانكسار المضاعف عندما يسقط الضوء على البلورة وفق منحى يسمى «المحور الضوئي». وتوصف البلورة بأنها أحادية المحور إذا كان لها محور ضوئي واحد، وتوصف بأنها ثنائية المحور إذا كانت ذات محورين ضوئيين.

ويطلق على الأشعة المنكسرة التي تخضع لقانون سنيل ـ ديكارت (العلاقة 2) «الأشعة العادية» ordinary rays، ويطلق على الأشعة المنكسرة التي لا تخضع لهذا القانون «الأشعة الشاذة» extraordinary rays. وكل من الشعاعين العادي والشاذ يكون مستقطباً استقطاباً مستقيماً، غير أن اهتزازة الشعاع الشاذ تكون متعامدة مع اهتزازة الشعاع العادي التي تكون دائماً عمودية على المحور الضوئي.

307-3.jpg

وقد فسّر هويْغنز ظاهرة الانكسار المضاعف بالقول: إن الموجة العادية الوحيدة اللون تنتشر في البلورة بسرعة واحدة في كل المناحي، أي إن للبلورة قرينة انكسار واحدة نع من أجل هذه الموجة كما لو كانت البلورة متماثلة المناحي، وهذا يعني أن صدر (جبهة) الموجة العادية كروي. أما الموجة الشاذة فتنتشر في البلورة بسرعة تختلف باختلاف منحى انتشارها، وتراوح قيمة هذه السرعة بين سرعة انتشار الموجة العادية سرع التي توافقها قرينة الانكسار نع وبين سرعة عظمى أو صغرى هي سرعة الانتشار الشاذة الأصلية سرش التي توافقها قرينة الانكسار الشاذة الأصلية نش. وقد وجد هويْغنز أنه يمكن تمثيل صدر الموجة الشاذة بقطعٍ ناقص مجسَّم دوراني يمس صدر الموجة العادية الكروي في نقطتين يمثل المستقيم الواصل بينهما منحى المحور الضوئي للبلورة. وقد اصطلح على أن توصف البلورة بأنها موجبة إذا كان القطع الناقص المجسّم يقع داخل الكرة مثل بلورة الكوارتز، وبأنها سالبة إذا كان القطع يقع خارج الكرة مثل بلورة الكلْسيت.

ملف:موشورا ولاستون.jpg
موشورا ولاستون

يتبين مما سبق أن البلورة المتباينة المناحي تحوِّل الضوء الطبيعي بالانكسار المضاعف إلى ضوء مستقطب استقطاباً مستقيماً، إلا أن الحزمتين المستقطبتين، العادية والشاذة، تكادان تكونان منطبقتين إحداهما على الأخرى، بسبب صغر حجم البلورات الطبيعية، فيكون الضوء حيث ينطبقان ضوءاً طبيعياً غير مستقطب. لذلك ينبغي التخلص من إحدى الحزمتين حتى تُتاح الاستفادة من الحزمة الأخرى كضوء مستقطب استقطاباً مستقيماً. ويمكن أن يتم ذلك بطرائق مختلفة منها.

موشور نيكول

هو مقطب صممه نيكول Nicol عام .1829 تؤخذ بلورة من الكلسيت بأبعاد مناسبة وتُشْطر شطرين وفق مستوٍ عمودي على محورها الضوئي، ثم يلصق الشطران بطبقة رقيقة من بلسم كندا الذي تبلغ قرينة انكساره (1.55)، وهي وسط بين قرينتيْ انكسار الشعاع العادي (1.66) والشعاع الشاذ (1.48) بالنسبة لضوء الصوديوم (الشكل 4). وتُجعل زاوية ورود الحزمة الضوئية على الموشور لتكون زاوية ورود الشعاع العادي على طبقة البلسم أكبر من الزاوية الحرجة (التي يحدث عندها انعكاس كلي)، فينعكس هذا الشعاع كلياً عن طبقة البلسم ويسقط على منطقة ب مغطاة بالسواد تمتصه وتمنع انعكاسه مرة أخرى. أما الشعاع الآخر الشاذ فينفذ من البلسم ومن الموشور.

موشورا ولاستون وروشون

صمَّم الأول منهما ولاّستون Wollaston ويتكون هذا المقطب من موشورين قائمي الزاوية من الكوارتز يُلصقان كما هو مبين في الشكل (5)، بوساطة الغليسرين أو زيت الخروع، ويكون المحوران الضوئيان فيهما متعامدين بحيث إذا سقطت حزمة من الضوء الطبيعي ناظمياً على الموشور نفذت منه حزمتان منفصلتان مستقطبتان في اتجاهين متعامدين، ويكون في كلٍ منهما شيءٌ من الزيغ اللوني بسبب انكسارهما داخل الموشور. ويمكن باستعمال حاجز مناسب اختيار إحدى الحزمتين.

أما في موشور روشون Rochon الذي يبينه الشكل (6)، فإن إحدى الحزمتين (العادية) تحافظ على منحاها من دون انحراف ولا يكون فيها زيغ لوني، لذلك يفضل استعمالها على الحزمة الأخرى الشاذة ذات الزيغ اللوني فتحجب هذه بحاجز مناسب.

أنواع الستقطاب المضاعف

  • النكسار المضاعف (الطارئ-الميكانيكي-الكهربائي-المغناطيسي)
  • استقطاب الضوء بالتبعثر:

عندما تسقط حزمة من ضوء طبيعي على جزيئات أو جسيمات أبعادها من مرتبة طول موجة الضوء λ يتبعثر (يتشتت) الضوء في كل المناحي ويلاحظ أن الضوء المبعثر في اتجاه ما يكون مستقطباً استقطاباً جزئياً بوجه عام، ولكنه يكون مستقطباً استقطاباً تاماً إذا كان مبعثراً في منحىً عمودي على منحى انتشار الحزمة الأصلية. ويمكن تفسير استقطاب الضوء المبعثر بفعل الجسيمات الدقيقة بالقول: إن هذه الجسيمات تحتوي على إلكترونات تهتز اهتزازاً قسرياً بتأثير الضوء الساقط عليها فيكون منحى اهتزازها كمنحى الاهتزازة الضوئية الواردة، وتصبح هذه الجسيمات منابع ضوئية ينتشر منها الضوء في كل الاتجاهات. أنماط الضوء المستقطب : الضوء المستقطب استقطابا مستقيما الضوء المستقطب استقطابا دائريا الضوء المستقطب استقطاب اهليليجيا

المستقطب Polarizer - البـولارويد Polaroid

يمكن الحصول على ضوء مستقطب من الضوء الغير مستقطب بالاستعانة بعدسات مخصوصة تسمى مرشح استقطابي polarizer ومن المواد المستخدمة تجاريا تلك التي تندرج تحت اسم بولاريود. مثل هذه المواد تسمح لمركبة الضوء (أي مركبة المجال الكهربى) التي تتذبذب في اتجاه معين بالمرور خلالها بينما تمتص مركبة المجال المتعامد مع هذا الاتجاه كما هو موضح في شكل 68.

و يسمى الاتجاه الذي تسمح فيه العدسة بمرور المجال (أو الضوء) محور النفاذية Transmission axis أو محور الاستقطاب للمادة. ومهما كان اتجاه محور النفاذية فإنه عند سقوط الضوء غير المستقطب (الضوء العادي) على هذه المادة

فإن شدة الضوء المار من خلالها تكون نصف شدة الضوء الساقط ،والسبب في ذلك هو أن الضوء العادي غير المستقطب ويحتوى على مجال كهربى يتذبذب في جميع الاتجاهات العرضية عموديا على اتجاه انتشار شعاع الضوء وبنفس الشدة. ويمكن تحليل المجال الكهربى إلى مركبتين إحداهما في اتجاه محور النفاذية والأخرى في الاتجاه العمودى وتكون المركبتان متساويتان في الشدة. ولما كانت المركبة الموازية لمحور النفاذية هي التي تمر فإن الضوء النافذ ستكون شدته نصف شدة الضوء الساقط.

هو مقطب نجح لَنْد Land في صنعه عام 1932 بأن فَرش بلورات دقيقة جداً من يود كبريتات الكينين quinine iodosulfate الإبرية الشكل على لوحٍ من مادةٍ لدنة، وشدَّ هذا اللوح حتى يجعل جميع المحاور الضوئية للبلورات متوازية. وتتصف مثل هذه البلورات إضافة إلى خاصية الانكسار المضاعف بأن عامليْ امتصاصها للحزمتين المستقطبتين مختلفان اختلافاً كبيراً ليكفي أن يكون ثخن البلورة من مرتبة 0.1 مم حتى تمتص البلورة الحزمة العادية امتصاصاً تاماً وتدع الحزمة الشاذة تنفذ منها دونما امتصاص يُذكر.

ملف:موشورا وروشون.jpg
موشورا وروشون

وثمة نوع ثانٍ من البولاريد يتم صنعه بوضع اليود الخطي عالي التبلمر linear high polymer الذي يتصف بخاصية الامتصاص السابقة على لوحٍ شفاف جزئياته موجَّهة ويتكون من مادةٍ مثل غوْل متعدد الفينيل polyvinyl alcohol أو (PVA)، لكي ترتِّب سلسلة اليود نفسها موازيةً لجزئيات (PVA).

والنوع الثالث من البولاريد يعتمد على خاصية التوجيه في المادة اللدنة نفسها والتي تتكون من متعدد الفينيلين polyvinylene الموجَّه. ويمتاز البولاريد في أنه يمكن صنعه على شكل ألواح ذات مساحة كبيرة تصل إلى نحو متر مربع ليتيسر معها إجراء تجارب كثيرة كان يصعب إجراؤها باستعمال المقطبات الأخرى. فهي تستعمل اليوم لإضعاف شدة الأضواء المنعكسة غير المرغوب فيها والتي تكون بوجه عام مستقطبة. كذلك يمكن استعمالها للتخلص من بهر ضوء السيارات للسائقين في الليل كما يمكن استعمالها لرؤية الصور مجسَّمة.

استقطاب الضوء بالتبعثر

عندما تسقط حزمة من ضوء طبيعي على جزيئات أو جسيمات أبعادها من مرتبة طول موجة الضوء λ يتبعثر (يتشتت) الضوء في كل المناحي، ويلاحظ أن الضوء المبعثر في اتجاه ما يكون مستقطباً استقطاباً جزئياً بوجه عام، ولكنه يكون مستقطباً استقطاباً تاماً إذا كان مبعثراً في منحىً عمودي على منحى انتشار الحزمة الأصلية، وتكون اهتزازاته في هذه الحالة عمودية على منحى انتشار هذه الحزمة.

ويمكن تفسير استقطاب الضوء المبعثر بفعل الجسيمات الدقيقة بالقول: إن هذه الجسيمات تحتوي على إلكترونات تهتز اهتزازاً قسرياً بتأثير الضوء الساقط عليها فيكون منحى اهتزازها كمنحى الاهتزازة الضوئية الواردة، وتصبح هذه الجسيمات منابع ضوئية ينتشر منها الضوء في كل الاتجاهات. ويعود ظهور السماء مضيئةً في جوٍ خالٍ من الغيوم إلى تبعثر ضوء الشمس على جزيئات الهواء، ولولا هذا التبعثر لبدت السماء مظلمة حالكة السواد مثلما تظهر لرواد الفضاء في الطبقات العليا من الجو الأرضي.

وقد تبين أن شدة الضوء المبعثر تتناسب عكساً مع λ4، فالضوء الأبيض المبعثر في الاتجاه العمودي على منحى انتشار الحزمة الأصلية تسود فيه الأضواء القصيرة الموجة فيبدو أزرق اللون بينما تسود في الضوء غير المبعثر (في منحى انتشار الحزمة) الأضواء الطويلة الموجة فيظهر أحمر اللون. مثال ذلك زرقة السماء وزرقة المحاليل ذات الجسيمات الدقيقة المعلَّقة واحمرار الشمس عند شروقها وغروبها.

أنماط الضوء المستقطب

يصنف الضوء المستقطب وفقاً لمنحى الاهتزازة الضوئية فيه. ففي الضوء المستقطب استقطاباً مستقيماً (خطياً) تظل الاهتزازة الضوئية في مستوٍ واحد يحتوي على منحى الانتشار. ومن أجل ضوءٍ وحيد اللون (ذي تواتر معين) يتغير مطال الاهتزازة تغيراً جيبياً مع الزمن. أما الضوء المستقطب دائرياً P.circularly، فإن نهاية اهتزازاته ترسم لولباً دائرياً محوره منحى الانتشار ويكون مطال الاهتزازة ثابتاً وتواتر (تردد) الدوران يساوي تواتر الضوء. وفي الضوء المستقطب إهليلجياً P.elliptically تدور الاهتزازة حول منحى الانتشار دوراناً لولبياً ولكن مطالها يتغير ليكون مرتسم الاهتزازة على مستوٍ متعامد مع منحى الانتشار قطعاً ناقصاً.

إن هذه الأنماط الثلاثة للضوء المستقطب يمكن ردها إلى مركبتين مستقيمتين متعامدتين تعرفان كما يلي:

س=بس جب (ى ز+طس) (7)

ع=بع جب (ى ز+طع) (8)

حيث س: المركبة وفق المحور س وع: المركبة وفق المحور ع، وحيث بس وبع السعتان، وطس وطع الطوران، وحيث ى=π2 ت هو التواتر الزاوي باعتبار (ت) التواتر، وحيث ز: الزمن

فمن أجل الضوء المستقطب استقطاباً خطياً يكون: طس=طع و بس ≠بع.

ومن أجل الضوء المستقطب دائرياً يكون:

معادلة 1.jpg


ومن أجل الضوء المستقطب إهليلجياً يكون: طس≠ طع وبس≠ بع

وعلى هذا تكون معادلة الاهتزازة المستقيمة:

معادلة 2.jpg


ومعادلة الاهتزازة الدائرية:

س2+ع2=ب2

ومعادلة الاهتزازة الإهليلجية

معادلة 3.jpg


حيث ط=طع- طس

توليد ضوء مستقطب استقطاباً إهليلجياً

ملف:توليد ضوء مستقطب استقطاباً إهليلجياً
توليد ضوء مستقطب استقطاباً إهليلجياً

يمكن توليد ضوء مستقطب استقطاباً إهليلجياً أو دائرياً باستعمال مقطب خطي مع صفيحة موجية wave plate. وهي عادة صفيحة بلورية أحادية المحور متوازية الوجهين تُهيّأ ليكون محورها الضوئي موازياً وجهيها، وهو أحد محورين متعامدين في الصفيحة يوصف أحدهما بالسريع والآخر بالبطيء، فإذا سقطت حزمة متوازية من ضوء وحيد اللون مستقطب خطياً سقوطاً ناظمياً على صفيحة موجية كهذه وكانت هناك زاوية بين الاهتزازة الساقطة ومحور الصفيحة الضوئي فإن الحزمة تنكسر انكساراً مضاعفاً لدى نفوذها في الصفيحة وتنتشر فيها اهتزازتان متعامدتان منحى يتطابق شعاعاهما ولكنهما يختلفان سرعة، (الشكل 7). فالاهتزازة الموازية للمحور السريع تنتشر بسرعة أكبر من سرعة انتشار الاهتزازة الموازية للمحور البطيء وينجم عن ذلك حدوث فرق في المسير الضوئي Δ بين الاهتزازتين عند بروزهما من وجه الصفيحة الثاني يساوي:

معادلة 4.jpg


حيث ث: ثخن الصفيحة. ويوافق هذا فرقاً في الطور يساوي:

معادلة 5.jpg


حيث نع: قرينة انكسار الصفيحة بالنسبة لاهتزازة الشعاع العادي، ونش: قرينة انكسارها بالنسبة لاهتزازة الشعاع الشاذ، وذلك من أجل الضوء الوحيد اللون ذي الطول الموجي l.

وتوصف الصفيحة بأنها صفيحة ربع موجية إذا كانت تولد في حالة الورود الناظمي فرقاً في الطور يساوي 90ْ، أي تولد فرقاً في المسير الضوئي يساوي l/4 أي إن ثخنها ث وفقاً للعلاقة (9) يساوي:

معادلة 6.jpg


وبالمثل توصف الصفيحة بأنها نصف موجية إذا كانت تولِّد فرقاً في المسير الضوئي يساوي π/2 أي إن ثخنها ث يعطى بالعلاقة:

معادلة 7.jpg


فإذا سقط ضوء وحيد اللون λ ومستقطب خطياً سقوطاً ناظمياً على صفيحة ربع موجية وكانت اهتزازته تميل 45ْ درجة على محورها السريع فإن هذه الاهتزازة تتحلل إلي مركبتين متساويتين موازيتين للمحور السريع وللمحور البطيء. ويمكن تمثيل هاتين المركبتين قبل اختراقهما الصفيحة بالعلاقتين:

س= بس جب (ى ز+طس)

ع= بس جب (ى ز+طس)

حيث س: المركبة وفق المحور س وع : المركبة وفق المحور ع، وحيث المحوران: س و ع يوازيان محوري الصفيحة ربع الموجية. ويمكن كتابة المركبتين بعد اختراقهما الصفيحة كما يلي بافتراض أن س تقدمت على ع بربع الموجة

معادلة 8.jpg


معادلة 9.jpg


أو

ع = بس جب ( ىز +ط س)

وهاتان العلاقتان تعطيان معادلة الاهتزازة الحاصلة وهي: س2+ع2=بس2 وهي معادلة اهتزازة دائرية يُمنى. وإذا كانت اهتزازة الضوء المستقطب خطياً تميل على المحور السريع بزاوية (-45ْ) درجة، كان دوران الاهتزازة الدائرية بالاتجاه المعاكس (أي يسرى).

فمن الممكن إذن باستعمال صفيحة ربع موجية ومقطب خطي الحصول على ضوء مستقطب دائرياً، وتوصف مجموعة هذه الصفيحة والمقطب بأنها مقطب دائري.

وإذا كانت اهتزازة الضوء المستقطب خطياً تميل على المحور السريع للصفيحة ربع الموجية بزاوية تختلف عن 45ْ، كانت الاهتزازة البارزة من الصفيحة ربع الموجية مستقطبة إهليلجياً ومعادلتها:

معادلة 10.jpg


وهي معادلة قطع ناقص قائم منسوب إلى محوريه م س، م ع.

وعندما يسقط ضوء مستقطب دائرياً سقوطاً ناظمياً على صفيحة ربع موجية فإن الضوء البارز منها يكون مستقطباً خطياً وتميل اهتزازاته بـ45ْ على محوري الصفيحة.

أما سلوك الصفيحة ربع الموجية بالنسبة إلى الضوء المستقطب إهليلجياً ففيه شيء من التعقيد إذا لم يعرف منحيا محوري الاهتزازة الإهليلجية القائمة (المعادلة 12). أما إذا عرف هذان المنحيان في الضوء المستقطب إهليلجياً وكان سقوط هذا الضوء على صفيحة ربع موجية ليوازي هذان المنحيان محوري الصفيحة، فإن الضوء البارز منها يكون مستقطباً استقطاباً مستقيماً (خطياً).

وباتباع المعالجة السابقة نفسها من أجل صفيحة نصف موجية وجد أنه إذا سقط عليها ناظمياً ضوء مستقطب خطياً وتميل اهتزازته بزاوية يه على المحور السريع فإنه يبرز من الصفيحة نصف الموجية مستقطباً استقطاباً خطياً، ولكن اهتزازته تميل على المحور السريع بزاوية تساوي (-يه)، أي إنها تكون متناظرة مع الاهتزازة الواردة بالنسبة إلى المحور السريع. ويستفاد من هذه الخاصية باستعمال الصفيحة نصف الموجية في مقاييس الاستقطاب الدوراني لمعايرة السكريات.]].[1].

تداخل الضوء المستقطب

ملف:تداخل الضوء المستقطب
تداخل الضوء المستقطب

يتضح أنه تبرز من الصفيحة الموجية حزمة ضوئية مؤلفة من اهتزازتين متعامدتين منحى، ويتوقف فرق المسير الضوئي بينهما على ثخن الصفيحة (العلاقة 9). وهاتان الاهتزازتان لا تولدان ظواهر التداخل لتعامدهما، غير أنه إذا سقطت الحزمة البارزة على محلل منحى اهتزازته وفق م ب، فإنه يمرِّر من الاهتزازتين المتعامدتين م س، م ع مركبتيهما وفق م ب، أي تبرز من المحلل اهتزازتان م ش، م شَ متفقتان منحىً، أي إنهما قابلتان لتوليد ظواهر التداخل. وتتوقف مواقع الأهداب المضيئة والمظلمة على قيمة ثخن الصفيحة إذا كان الضوء الساقط ناظمياً على الصفيحة وحيد اللون. أما إذا كان الضوء أبيض اللون فإن ظواهر التداخل تكون ملونة بسبب انطفاء بعض ألوان الطيف المستمر وظهور البعض الآخر. ويطلق على هذه الظاهرة «الاستقطاب اللوني». ويختلف اللون باختلاف ثخن الصفيحة وكذلك باختلاف زاوية سقوط الضوء عليها إذا لم يكن ناظمياً. ولا تظهر هذه الألوان إلا إذا كان فرق المسير الضوئي الذي تحدده العلاقة (9) أصغر من بضعة مكرونات. فمثلاً إذا جعلت صفيحة رقيقة من الميكا يختلف ثخنها من نقطة إلى أخرى بين مقطب ومحلل متعامدين وأضيئت بالضوء الأبيض فإنه يبرز من المحلل أضواء ملونة تختلف باختلاف ثخن الصفيحة، وتبدو الصفيحة إذا نظر إليها من خلال المحلل كأنها جزء من نافذة زجاجها متعدد الألوان.

ويستفاد من ظواهر الاستقطاب اللوني هذه في دراسة البلورات وبعض المواد العضوية كالألياف العضلية وحبات النشاء وقنوات النباتات المتباينة المناحي، ويستعمل لهذه الغاية المجهر الاستقطابي polariscope، وهو مجهر عادي أُلحق به مقطب قبل المادة المدروسة ومحلل في طريق الأشعة المكونة للصورة (الخيال).

دوران مستوي الاستقطاب

تتصف بعض المواد بأنها تدير مستوي استقطاب الضوء المستقطب خطياً الساقط عليها، وتوصف هذه المواد بأنها فعالة ضوئياً optically active. ويمكن أن تكون هذه المواد متماثلة المناحي صلبة أو سائلة أو غازية أو في حالة محاليل مثل زيت التربنتين وأبخرة الكافور وحمض الطرطر والمحاليل السكرية، كما يمكن أن تكون متباينة المناحي من البلورات كالكوارتز (المرو). وقد وجد فيها جميعاً أن زاوية دوران مستوى الاستقطاب هـ تتناسب مع المسافة ل التي يقطعها الضوء في المادة، أي:

هـ = ρ ل في البلورات (13)

أو: هـ = ρ ل ك في السوائل (14)

أو: هـ = ρل ت في المحاليل (15)

حيث ك: الكتلة الحجمية للسائل، وت: تركيز المادة الفعالة المذابة في مذيب غير فعال ضوئياً، و ρ: الدوران النوعي، وهو ثابت يختلف من مادة لأخرى، ويتوقف على طول موجة الضوء الوحيد اللون المستعمل λ ويتناسب معها عكساً على وجه التقريب.

وغالباً ما يكون الدوران في المادة الفعالة نفسها في اتجاهين متعاكسين (نحو اليمين ونحو اليسار) مع ثبات القيمة المطلقة للدوران النوعي ρ في نوعيها اليميني واليساري.

وقد فسر فرينل دوران مستوي الاستقطاب على غرار تفسير هويغنز لظاهرة الانكسار المضاعف، وذلك بافتراضه أن الاهتزازة المستقيمة في الضوء المستقطب تتحلل حين تخترق المادة الفعالة إلى اهتزاتين دائريتين يمنى ويسرى تنتشران بسرعة واحدة وبالتواتر نفسه، إنما تكون سرعتاهما في الدوران مختلفتين بعض الاختلاف مما يؤدي إلى حدوث فرق في الطور بينهما ينتج منه دوران الاهتزازة الواردة لدى بروزها من المادة بزاوية الدوران هـ.

وتنشأ الفعالية الضوئية في السوائل والمحاليل من انعدام التناظر في جزيئات المادة، وتنشأ في البلورات كالكوارتز من فقدان مستوٍ للتناظر في بنيتها فإذا صهر الكوارتز فقد فعاليته الضوئية.

إن تطبيق العلاقة (15) أي: هـ= ρ ل ت، يسمح بحساب تركيز محلول مادة فعالة ما إذا كان الدوران النوعي ρلهذه المادة معروفاً، إذ يكفي قياس زاوية الدوران هـ لحساب التركيز ت. ويتم ذلك باستعمال مقياس الاستقطاب الدوراني. وتؤلف هذه العملية مايدعى «المعايرة الاستقطابية»، وهي أسرع من المعايرة الكيمياوية وأكثر منها دقة، ولا تستدعي تخريب المادة المدروسة. وتستعمل هذه المعايرة الاستقطابية كثيراً في مختبرات الكيمياء لتقدير نقاوة المواد ومتابعة سير التفاعلات وعمليات التجزيء. وأكثر هذه التطبيقات أهمية معايرة السكريات وخاصة السكروز C12H22O11

الانكسار المضاعف الطارئ

يمكن لبعض الأوساط الشفافة المتامثلة المناحي أن تصبح متباينة المناحي وذات انكسار مضاعف إذا تعرضت لقوى خارجية كالضغط أو الشد أو إذا أثر فيها حقل كهربائي أو حقل مغنطيسي. وتحتفظ هذه الأوساط بخواصها المكتسبة هذه مادامت القوى الخارجية تؤثر فيها، وتفقد هذه الخواص بزوال هذه القوى.

الانكسار المضاعف الميكانيكي

يكتسب مكعب شفاف من الزجاج أو اللدائن خاصية البلورة الأحادية المحور السالبة فيها إذا طُبِّق على وجهين متقابلين فيه ضغط شديد، ويكون منحى المحور الضوئي منحى الضغط المطبق عليه نفسه. وتتناسب شدة الانكسار المضاعف نع- نش طرداً مع الضغط المطبق وتتوقف قيمتها على طبيعة الوسط.

كتلة مربعة طبق عليها ضغط قطري وفق السهمين


وينشأ عن تطبيق ضغوط غير منتظمة على كتلة زجاجية مثلاً أن يكون توزع الإجهادات فيها غير منتظم أيضاً، أي تختلف شدة الانكسار المضاعف من نقطة لأخرى وتختلف بالتالي المسارات الضوئية للأشعة التي تخترق تلك الكتلة منكسرة انكساراً مضاعفاً، فتتكون صورة تداخل تظهر المناطق ذات الإجهادات المختلفة، (الشكل 9). وقد أصبح هذا أساساً لطريقة ضوئية في تحليل الإجهادات سميت المرونة الضوئية photoelasticity. وقد تطورت هذه الطريقة تطوراً كبيراً وأصبح من الممكن باتباعها تحليل الإجهادات في هندسة الإنشاءات كالجسور والجيزان بدقة تفوق كثيراً الدقة في الطرائق الأخرى. فيصنع للمنشأ نموذج مصغر من مادة متماثلة المناحي شفافة، ويجعل النموذج بين مقطب ومحلل متعامدين وتطبَّق عليه مجموعة من القوى تمثِّل بنسبة التصغير نفسها القوى التي يتوقع أن تطبَّق على المنشأ الأصلي، فتولد أهداب تداخل تبيِّن الإجهادات وتوزعها في النموذج المختبر. كذلك تتبع الطريقة نفسها للكشف عن الإجهادات الداخلية التي يمكن أن تحدث عند تبريد الزجاج ولاسيما مايستعمل منه في صناعة العدسات والمواشير وغيرها من الأدوات الضوئية.

الانكسار المضاعف الكهربائي

الانكسار المضاعف الكهربائي

تصبح معظم السوائل ذات انكسار مضاعف حين توضع في حقل كهربائي فتكتسب خواص البلورة الأحادية المحور الموجبة التي يتفق محورها الضوئي مع منحى الحقل الكهربائي وتتناسب شدة الانكسار المضاعف الطارئ (نع- نش) مع مربع شدة الحقل الكهربائي وتتوقف على طول موجة الضوء وعلى طبيعة السائل. ويمكن ملاحظة هذه الظاهرة بإجراء التجربة المبينة في الشكل (10) حيث يُغمر مكثف كهربائي في سائل من النتروبنزين يملأ حوضاً زجاجياً، وتجعل المجموعة المسماة خلية كِر Kerr (نسبة للعالم كِر) بين مقطب ومحلل متعامدين لينطفئ الضوء بعد المحلل إذا لم يطبق فرق كمون على لبوسي المكثف، ولكنه يظهر إذا طَبَّق فرق كمون كافٍ. وعندما يطبق على الخلية فرق كمون ذو تواتر (تردد) عالٍ يصدر الضوء من الخلية ويحتجب (ينطفئ) في برهة قصيرة جداً. كذلك استعملت خلية كِر مغلاقاً كهرضوئيا electrooptic shutter. كذلك استعملت خلية كر على هذا النحو بدلاً من الدولاب المسنن في تجربة فيزو Fizeau لقياس سرعة الضوء.

الانكسار المضاعف المغنطيسي

حين يوضع سائل في حقل مغنطيسي شديد يرى أن هذا السائل يكتسب خواص البلورة الأحادية المحور التي يتفق منحى محورها الضوئي مع منحى الحقل المغنطيسي. وتتناسب شدة الانكسار المضاعف الطارئ مع مربع شدة الحقل وتتوقف على طول موجة الضوء وعلى طبيعة السائل.


النظرية

Basics: plane waves

or alternatively,


حالة الاستقطاب

Linear polarization diagram
Linear
Circular polarization diagram
Circular
Elliptical polarization diagram
Elliptical



Animation of a circularly polarized wave as a sum of two components


Unpolarized light

Parameterization

Polarisation ellipse2.svg



Parameterization of incoherent or partially polarized radiation


Poincaré sphere diagram




Propagation, reflection and scattering


Birefringence diagram



الاستقطاب في الطبيعة، العلوم، التقننية

تأثير الاستقطاب على الحياة اليومية

Effect of a polarizer on reflection from mud flats. In the picture on the left, the polarizer is rotated to transmit the reflections as well as possible; by rotating the polarizer by 90° (picture on the right) almost all specularly reflected sunlight is blocked.
The effects of a polarizing filter on the sky in a photograph. The picture on the right uses the filter.



Polarizing sunglasses reveal stress in car window (see text for explanation.)


علم الأحياء

الجيولوجيا

Photomicrograph of a volcanic sand grain; upper picture is plane-polarized light, bottom picture is cross-polarized light, scale box at left-center is 0.25 millimeter.


الكيمياء

الفلط


الأفلام ثلاثية الأبعاد

الاتصالات وتطبيقات الرادار

علم المواد

Navigation

التصوير

الفن

أمثلة أخرى على الاستقطاب

انظر أيضا

هوامش ومصادر

  • Principles of Optics, 7th edition, M. Born & E. Wolf, Cambridge University, 1999, ISBN 0-521-64222-1.
  • Fundamentals of polarized light: a statistical optics approach, C. Brosseau, Wiley, 1998, ISBN 0-471-14302-2.
  • Polarized Light, second edition, Dennis Goldstein, Marcel Dekker, 2003, ISBN 0-8247-4053-X
  • Field Guide to Polarization, Edward Collett, SPIE Field Guides vol. FG05, SPIE, 2005, ISBN 0-8194-5868-6.
  • Polarization Optics in Telecommunications, Jay N. Damask, Springer 2004, ISBN 0-387-22493-9.
  • Optics, 4th edition, Eugene Hecht, Addison Wesley 2002, ISBN 0-8053-8566-5.
  • Polarized Light in Nature, G. P. Können, Translated by G. A. Beerling, Cambridge University, 1985, ISBN 0-521-25862-6.
  • Polarised Light in Science and Nature, D. Pye, Institute of Physics, 2001, ISBN 0-7503-0673-4.
  • Polarized Light, Production and Use, William A. Shurcliff, Harvard University, 1962.
  • Ellipsometry and Polarized Light, R. M. A. Azzam and N. M. Bashara, North-Holland, 1977, ISBN 0-444-87016-4
  • Secrets of the Viking Navigators—How the Vikings used their amazing sunstones and other techniques to cross the open oceans, Leif Karlsen, One Earth Press, 2003.
  1. ^ "استقطاب الضوء". الموسوعة العربية. 2007.

وصلات خارجية