حمض نووي
الحَمْض النووي Nucleic acid جزيء معقد موجود في جميع الخلايا. هناك نوعان من الأحماض النووية هما الحمض النووي الريبي منقوص الأكسجين (د. ن. أ) والحمض النووي الريبي (آر. إن. إيه). ويوجد حمض الدنا بصورة رئيسية في نواة الخلية. ولكن (آر. إن. إيه) قد يوجد في جميع أنحاء الخلية. وحتى خلايا البكتيريا التي ليس بها نواة، تحتوي على (د. ن.أ) و (آر. إن. إيه). وهناك فيروسات معينة تحتوي على (آر. إن. إيه) فقط وفيروسات أخرى تحتوي على (د. ن. أ) فقط.
ويؤدي (د. ن. أ) دورًا حيويًا في الوراثة. فهو المادة الرئيسية في الصبغيات (الكروموزومات)، وهي أجسام الخلية التي تنظم عملية الوراثة في الحيوان أو النبات. وعندما تنقسم الخلية يجب أن تنقسم المورثات في نواتها إلى نسخ متطابقة تمامًا تنتقل إلى الخلايا الوليدة. ويقوم (د.ن. أ) الموجود في الصبغيات بإعطاء الخلايا الوليدة مجموعة كاملة من الرموز (الشفرات) من أجل نموها ونمو الخلايا المنحدرة منها.
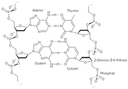
ويحتوي (د. ن. أ) على الفوسفات، وعلى سكر يسمى الريبوز منقوص الأكسجين، ومركبات تدعى القواعد النيتروجينية. وتكون هذه منظمة في وحدات من فوسفات ـ سكَّر ـ قاعدة ـ فوسفات ـ سكر ـ قاعدة، مكررة مئات الآلاف من المرات لتكون سلسلة طويلة ملتفة. وهذا التركيب الكيميائي الأساسي هو الشائع لكل مركبات (د.ن. أ). ولكن هناك أربع قواعد مختلفة في (د. ن. أ) هي الأدنين والجوانين والثيمين والسيتوسين. والنسب الدقيقة لكل من القواعد، والترتيب الدقيق الذي تُرَتَّب به، تعتبر فريدة لكل نوع من الكائنات الحية. وهذا الترتيب الدقيق وتلك البنية، هما اللذان يجب نسخهما بدقة في كل مرة تنقسم فيها الخلية. وباستطاعة العلماء اصطناع بعض أنواع جزيئات (د. ن. أ) التي باستطاعتها نسخ نفسها.
أما (آر. إن. إيه)، فهو يتكون أيضًا من سلاسل طويلة متكررة من وحدات فوسفات ـ سكر ـ قاعدة. ومع ذلك، فإن السكر في (آر. إن. إيه) هو الريبوز وليس الريبوز منقوص الأكسجين كما هو الحال في (د. ن. أ). والقواعد هي الأدنين، والجوانين، والسيتوسين، واليوراسيل (وليس الثيمين كما هو في (د. ن. أ) ويؤدي (آر. إن. إيه)، دورًا هامًا في تكوين البروتينات.
وبعض جزيئات (آر. إن. إيه)، وتدعى آر. إن. إيه الرسول، تغادر النواة حاملة التعليمات لصنع البروتينات. وتذهب جزيئات (آر. إن. إيه الرسول) هذه إلى الرايبوزومات، وهي تركيبات الخلية التي تصنع فيها البروتينات.
والبروتينات النووية التي تعطي بالإماهة قسماً بروتينياً متجانساً قلوي التفاعل وقسماً لا بروتينياً حامض التفاعل هو الحموض النووية nucleic acides والتي تتواجد في نوى الخلايا الحية وسيتوبلازماها والتي تعطي بالإماهة الكاملة ما يأتي:
ب - سكر بسيط خماسي ذرة الكربون ([[الريبوز أو ده أوكسي ريبوز).
ج - مركبات آزوتية أساسية قلوية التفاعل تدعى قواعد base والتي تنتمي إلى نواة البورين purine أو البيريميدين pyrimidine.
إن القواعد البورية:
1- الآده نين (A) (Adenine) م[6 ـ أمينوبورين]
2- الگوانين (G) (Guanine) م[2 ـ أمينو 6 ـ أوكسي بورين]
,إن القواعد البيريميدية:
1- الأوراسيل (U) (Uracil)م[2 ـ 6 دي أوكسي بيريميدين]
2- التيمين(Thymine) (T) م[5ـ ميتيل أوراسيل]
3- السيتوزين (Cytosine) (C)م[2ـ أوكسي 6ـ أمينو بيريميدين]
الـ نكليوزيد (Nucleoside) والـ نكليوتيد (Nucleotide):
- النكليوزيد: مركب ينجم عن اتحاد جزيء من أس آزوتي (قاعدة) (B) مع جزيء من الـسكر (S) ويرمز لـه بـ (S-B)، إن الارتباط يكون بين ذرة الكربون رقم (1َ) من جزيء السكر مع ذرة الآزوت رقم (3) من جزيء البيريميدين أو رقم (9) من جزيء البورين.
- النكليوتيد: مركب ينجم عن ارتباط جزيء من حمض أورتو الفوسفور مع زمرة هيدروكسيل (OH) الكربون رقم (3َ) أو (5َ) من جزيء السكر في النكليوزيد. إن الأسترة بين حمض الفوسفور والسكر تكون في نفس الوقت على الكربون (3َ) و(5َ) من جزيء السكر في حموض النوى.
تاريخ
أنواع الأحماض النووية
يوجد نوعان من الأحماض النووية هما:
- الحمض النووي الريبي منقوص الاكسجين (DNA).
- الحمض النووي الريبي (RNA).
التركيب الكيميائي للحامض النووي
يتركب الحامض النووي من ثلاث أجزاء رئيسية هما:
- مجموعة فوسفات - حمض الفوسفوريك -.
- قواعد نيتروجينية: (السايتوسين و الجوانين و الثايمين و الأدنين و ايضا اليوراسيل في RNA
وهناك نوعان من حموض النوى:
ـ الأول يدعى الحمض النووي الريبي (Ribo Nucleic Acid) (RNA) (رنا).
ـ الثاني يدعى الحمض النووي الريبي المنقوص الأكسجين Deoxyribonucleic Acid) (DNA) (دنا).
إن الفرق بينهما من حيث المكوّنات هو أن:
ـ الرنا لا يحوي على ده أوكسي ريبوز ولا على التيمين.
ـ الدنا لا يحوي على ريبوز ولا على الأوراسيل.
ـ إن الدنا يتواجد في نواة الخلية الحية بكميات كبيرة وفي ميتو كوندريا السيتوبلازما بكميات قليلة.
ـ إن الرنا يتواجد في سيتوبلاسما الخلية بصورة كبيرة وفي نويات النواة بمقادير قليلة.
أ - بنية الرنا:
هو متماثر للنكليوتيدات، وزنه الجزيئي الغرامي بين عشرة آلاف وعدة آلاف ملايين دالتون، تفعل فيه أنزيم الريبونكله آز Ribonuclease وتفككه الى نكليوتيداته.
يتألف جزيء الرنا من طاق واحد Mono - Strand ملتوٍ، وهذا الانطواء يحقق الاتصال بين القواعد. إن هذا الاتصال بين القواعد يتم عن طريق روابط هدروجينية Hydrogen Bond وهناك ثلاث بين (C) و(G) واثنان بين (A) و(U).
إن بنية الطاق يمكن تمثيلها على الشكل الآتي:
هناك عدة أنواع من الرنا أهمها:
1- حمض الرنا المرسال (m RNA) (Messenger RNA)
2- حمض الرنا النقال (t RNA) (Transfer RNA)
3- حمض الرنا الريباسي (r RNA) (Ribosomal RNA)
ب - بنية الدنا:
هو متماثر للنكليوتيدات، وزنه الجزيئي من رتبة مليون دالتون أو أكثر، تفعل فيه أنزيم الده أكسي ريبو نكلياز وتفككه إلى نكليوتيداته Deoxyribonuclease.
لقد تبين أن النسبة تعادل الواحد تقريباً وكذلك النسبة. ونتيجة لبعض الاعتبارات الكيميائية الأخرى افترض واتسون وكريك أن جزيء الدنا مؤلف من سلسلتين خطيتين من النكليوتيدات. وكل من هاتين السلسلتين تشبه سلسلة الرنا من حيث البنية، بمعنى أنه يحوي على طاقين Strands 2 ملتفين على بعضهما على شكل حلزون مضاعف Double Helix. وحيث يكون الاتصال بين القواعد بوساطة روابط هدروجينية [اثنان بين (A) و(T)] و[ثلاث بين (G) و(C)] فإن مسافة اللفة الواحدة في الجزيء تبلغ نحو 3.14 نانومتر وعرضها في حدود 20 نانومتر.
ومن أجل سهولة العرض وفهم آليات عمل الدنا يرمز له على الشكل الآتي:
يدعى الطاق رقم (1) بالطاق المُرمِّز Coding Strand
يدعى الطاق رقم (2) بالطاق المتمِّم Template Strand
ملاحظة: لقد أُعطي للطاق رقم (2) في اللغة العربية أسماء متعددة ونرى دعوته بالمُحسن لأنه هو الطاق الدليل لعملية استنساخ الرنا من الدنا.
إن الصبغيات chromsomes تتكون بصورة أساسية من حمض الدنا DNA. إن عدد الصبغيات في نواة الخلية الحية الإنسانية يبلغ 46 صبغياً تؤلف 23 زوجاً من الصبغيات ويحوي كل زوجين صبغي واحد من الأم وصبغي واحد من الأب. يتألف الصبغي الواحد من [[كروماتيدين Chromatids [[2 متماثلين متصلين ببعضهما بوساطة مايدعى السانترومير Centromer، وكل كروماتيد يحوي جزء من الدنا. إذن هناك 23 صبغياً تأتي من الأم وتدعى هابلوئيد Haploid الأم و23 صبغياً تأتي من الأب وتدعى بـ هابلوئيد الأب .
إن حمض الدنا المتواجد في هابلوئيد الخلية (أي 23 صبغي) يحوي تقريباً على (3.5×10 9) زوجاً من القواعد Base-Pair وهذا ما ندعوه جينوم الهابلوئيد Haploid Genome (ويفضل استخدام كلمة مورثوم بدلاً من جينوم).
إن خيط الدنا DNA في المورثوم يتكون من مناطق تدعى الواحدة منها بالجين Gene (ويفضل استخدام مورثة)، يحوي مورثوم الهابلوئيد في الخلية الإنسانية نحو 1.5 مليون زوجاً من المورثات المتقابلة Allele والتي دعيت بالعربية بالحلائل، والذي لا يعني شيئاً والمفضل تسميتها بالأنداد. إن الأنداد في الصبغي الواحد متماثلة تماماً، أما الأنداد في صبغي الأم وصبغي الأب فقد تكون متماثلة أو غير متماثلة.
الطفرات الصبغية والدنا
إن الأخطاء المرتكبة أثناء اصطناع الدنا وتكاثره واستنساخه في الخلية الحية غالباً ما تصححه الخلية بوساطة أنزيمات خاصة، هناك أخطاء تقع على دنا الصبغي لا يمكن للخلية الحية تصحيحها ويؤدي ذلك إلى ما يدعى طفرات صبغية Chromosomal Mutations. إن هذه الطفرات متعددة ومختلفة وأسبابها أيضاً.
تترجم العضوية الحية صدى هذه الطفرات بحصول اضطرابات استقلابية وبنيوية ناجمة عن تبدل وتغير في بنية الدنا في المورثة وبالتالي تغير وتبدل في التعبير الوراثي Gene Expression.
تشمل هذه الطفرات الصبغية بصورة رئيسية:
أ - طفرة نقطية تنجم عن استبدال نكليوتيد بآخر.
ب - غياب نكليوتيد أو مجموعة من النكليوتيدات.
ت - إدخال نكليوتيد أو مجموعة من النكليوتيدات.
ث - تغير وتبدل في الموضع.
الرنا
سايتوسين |
اوراسيل |
ثايمين |
البيولوجيا الجزيئية Molecular Biology وحموض النوى
في السبعينات من القرن الماضي ظهر مفهوم جديد يدعى البيولوجيا الجزيئية، وهذا المفهوم الذي أصبح علماً قائماً بذاته يهدف إلى دراسة الجزيء الكيميائي الحيوي دراسة دقيقة جداً وربط تبدلات البنية الكيميائية بالأمراض المختلفة الناجمة عن الاضطراب في استقلابه.
إن دراسة بنية حموض النوى وطرق كشفها ومعايرتها وربط ذلك بالأمراض الوراثية وغير الوراثية يكوّن جزءاً هاماً من البيولوجيا الجزيئية يدعى بتقنيات الدنا والرنا DNA & RNA Technology.
المبدأ العملي في كشف حمض نووي ومعايرته
إن المبدأ الرئيسي في ذلك هو استخدام ما يدعى المسبار probe، إن المسبار هو كسرة fragment صغيرة لتسلسل نكليوتيدات ذي طاق وحيد (يحوي على الأقل 15 نكليوتيد).
يجب أن يكون المسبار حاوياً على تسلسل من القواعد قادرة على التقابل والاتصال بما يدعى حالياً بعملية التزاوج hybridization/base-pairing بمعنى أن القاعدة (A) من المسبار تقابل وتتزاوج مع القاعدة (T) أو (U) من طاق الحمض النووي المراد كشفه، وأن القاعدة (G) من المسبار تقابل وتتزاوج مع القاعدة (C) من طاق الحمض النووي المراد كشفه.
إن الشكل الآتي يمثل عملية التزاوج:
إن توافق قواعد المسبار مع قواعد طاق الحمض النووي يمكن كشفها بوسم المسبار labeling من نهايته بوساطة عنصر مشع أو مادة متفلورة أو أنزيم.
إن تقنيات الحموض النووية تشمل بصورة رئيسية:
أ - استخلاص حموض النوى Extraction.
ب - تنقية حموض النوى Purification.
ت - تضخيم وتكثير حموض النوى (التأشيب P.C.R-L.C.R recombination وغيره).
ث - دراسة تسلسل النكليوتيدات في حموض النوى Sequencing.
ج - الرحلان الكهربائي لحموض النوى Electrophoresis.
ح - الرحلان الكهربائي لكسرات حموض النوى بعد تقطيعها بوساطة أنزيمات التقييد والتحديد Ristriction Enzymes. ونقصد بذلك تقنية Southern من أجل الدنا DNA وتقنية Northern من أجل الرنا RNA.
خ - التضخيم وتعيين الهوية بتقنية الأمبليكور Amplicor.
د - تعيين الهوية بتقنية الـ Fish.
ذ - تعيين مكونات الضد وأعمال الطب الشرعي.
ر - تقنية الهندسة الوراثية Genetic Engirneeing.
ز - المعالجة بالمورثات Gene Therapy.
استخلاص وتنقية الحموض النووية
تستخلص الحموض النووية من الخلية الحية بـ:
1- حلّ الخلية Cytolysis.
2- معالجة الحلالة بالفينول.
3- ترسيب الحموض النووية بالغول الإيتيلي أو الإيزو بروبانول.
4- التخلص من الفينول بالإتير.
كما يمكن استخدام بروتوكولات أخرى، وتقوم التقنية على استخدام وسائل متعددة.
تضخيم حموض النوى وتكثيرها
من أجل دراسة حموض النوى من الضروري الحصول على كمية كافية ونقية ما أمكن. ويمكن الحصول على كمية كافية باتباع الطرائق الآتية:
1- في حالة البدء من خلية نسجية أو من خلية فيروسية نقوم بالزرع على أوساط استنباتية خلوية صنعية ومن ثم الاستخلاص.
2- في حالة البدء من خلية جرثومية أو طفيلية نقوم بالزرع على أوساط استنباتية خاصة عادية ومن ثم الاستخلاص.
3- يمكن تضخيم كمية قليلة من الدنا DNA باللجوء إلى ما يدعى التأشيب Recombination.
4- يمكن تضخيم كمية قليلة من الدنا DNA باللجوء إلى ما يدعى الـ PCR أو الـLCR أو الـNASBA
5- يمكن تضخيـم كمية قليلة من الرنا RNA بعد تحويلـها إلى DNA بوساطـة أنزيم (RT) (Reverse Transcriptase).
دراسة تسلسل النكليوتيدات في حموض النوى
الهدف من هذه الدراسة معرفة بنية الحموض النووية بوساطة معرفة تسلسل نكليوتيداتها. ويتم ذلك بحسب منهجين:
أ - منهج SANGER الذي يستخدم ما يدعى 2'-3' Dideoxy Nucleotides.
ب ـ منهج MAXAM الذي يقوم على تخريب النيكليوتيدات C أو G أو T+C أو A+G.
الرحلان الكهربائي لحموض النوى
إن جزيء الحمض النووي مشحون كهربائياً بصورة سلبية بسبب وجود الزمر الحامضة الحرة لحمض الفوسفور.
يُجرى الرحلان على حامل صلب من الآغاروز أو الأكريل أميد في وقاء قلوي (pH=8.6) وبوجود سيالة كهربائية مستمرة.
يمكن إجراء الرحلان على حموض نووية يصل وزنها الجزيئي حتى المليون، كما يمكن إجراء الرحلان على قطع من حموض نووية ندعوها كسرات تحوي من 30 حتى 300 قاعدة.
ومن أجل إظهار المكونات المفرقة نقوم بضغط الحامل الصلب بورق نترات السللوز أو ما شابهه، وبعد انتقال المكونات المفرقة على ورقة نترات السللوز نقوم بغمرها بمسبار مناسب موسوم.
إن المسبار هو تسلسل نكليوتيدي يحوي من 10-15 نكليوتيد على الأقل وقادر على عملية التزاوج أو التتام بصورة نوعية مع المكوّن المفرق. يمكن أن يتم وسم المسبار بوساطة عنصر مشع أو مادة متفلورة أو بأنزيم.
تقنية ساوثرن Southern
هي تقنية خاصة بدراسة الدنا DNA، تشمل ما يأتي:
أ - يقطّع جزيء حمض الدنا ذو الوزن الجزيئي العالي والمستخلص بكميات كبيرة إلى كسرات بوساطة ما يدعى أنزيمات التقييد أو التحديد Restriction Enzymes.
ب - يقطع جزيء الدنا المستخلص بكميات صغيرة إلى كسرات بوساطة أنزيمات التقييد والتحديد ومن ثم يُجرى تضخيمها وتكثيرها بتقنية الـ PCR.
ج - إجراء الرحلان الكهربائي للكسرات.
د - إظهار العصابات المفرقة.
ذ - تطبيق ما سبق على شاهد نظامي.
إن هذه الطريقة مفيدة جداً في دراسة الطفرات على المورثات وتشخيص عدد كبير من الأمراض.
تقنية نورثرن Northern
تقنية مشابهة لتقنية Southern تستخدم في دراسة الرنا RNA.
أنزيمات التقييد والتحديد
أنزيمات من صنف الـ Endo-Nuclease وهي أنزيمات تستخلص بصورة خاصة من الجراثيم ولها أنواع عدة ومختلفة.
إن الأنزيم الواحد قادر على تقطيع سلسلة النكليوتيدات بين قاعدتين معلومتين.
يحوِّل هذا التقطيع حمض النوى إلى كسرات محددة ومعينة، بمعنى أنها تحوي على عدد معلوم من القواعد في الكسرة. وتقدر هذه الكسرات عادة بما يدعى Kb أي ألف قاعدة.
تقنية الأمبليكور Amplicor-Roche
إن هدف هذه التقنية ليس دراسة الطفرات الصبغية وإنما تعيين هوية حمض نووي وعياره.
تشبه هذه التقنية تقنية Southern أو Northern ولكن لا ضرورة هنا لإجراء رحلان كهربائي.
إن هذه التقنية مطبقة حالياً في دراسة عدد كبير من العوامل الممرضة، منها:
4- فيروس الإيدز HIV
5- فيروس CMV
6- عصية السل
… وغير ذلك.
تقنية الـ FISH
تقنية تستخدم من أجل كشف DNA مورثي في صبغي معين.
تقوم هذه الطريقة على تحضير لطاخة نسجية ومسبار مناسب موسوم بمادة متفلورة وباستخدام المجهر التفلوري.
تعيين مكونات الضد وأعمال الطب الشرعي
بما أن مكونات الضد مركبات بروتينية تصنعها الخلية الحية بوساطة ريباساتها وبإشراف الرنا المرسال mRNA المستنسخ عن المورثة الخاصة بها، فإنه من الأفضل تعيين هوية هذه المكونات الضدية ليس بكشفها بصورة مباشرة بأضدادها، وإنما بدراسة المورثات التي تعبر عنها، ويفيد ذلك في:
أ - تعيين زمر الكريات الحمراء.
ب - تعيين زمر الـHLA للكريات البيضاء.
ج - كشف العوز في الأنزيمات.
د - كشف الطفرات الصبغية.
ذ - اختبارات تعيين الهوية وتحديد الأبوة والبنوة.
ر - دراسة التسلسل العرقي.
ز - تعيين هوية البقايا البشرية.
ح - الفصل في الحوادث الإجرامية.
ط - حل مشاكل التأمين.
تقنية الهندسة الوراثية
هي تقنية تقوم على نقل مورثة (قطعة من الدنا DNA) من خلية حية نظامية ترمز لمركب كيميائي محدد ومعين إلى خلية جرثومية مضيافة بوساطة عملية التأشيب.
تصبح الخلية الجرثومية المضيافة قادرة على صنع المركب الكيميائي من ضمن المركبات التي تصنعها أصلاً، ولقد أمكن بوساطة هذه التقنية الحصول على مركبات صنعية حيوية عديدة ومختلفة نذكر منها:
هرمون الأنسولين الإنساني وهرمون الهوموبويه تين.
المعالجة بالمورثات
هي استراتيجية هامة الهدف منها معالجة الأمراض الوراثية، وذلك بنقل مورثة نظامية من خلية حية إلى خلية مريضة كانت قد فقدت المورثة أو حصل على هذه المورثة اضطراب ما.
إن بروتوكولات هذه المعالجة متعددة ومختلفة ومعقدة ولا تزال في مراحلها الأولية ولكن المستقبل واعد.
تشخيص فاقة الدم المنجلية
نعطي في تشخيص هذا المرض فكرة عن تطبيق تقنية الدنا DNA.
يمكن أن يحوي الخضاب الدموي Hb المستخلص من الكريات الحمراء للمريض:
1- الخضاب الكهلي النظامي HbA ممزوجاً مع الخضاب المنجلي HbS، ويصادف ذلك في المرضى متخالفي الإلقاح heterozygot ويمكن إعطاء هذا المزيج الرمز HbAS.
2- الخضاب المنجلي HbS فقط، ويصادف ذلك في المرضى متجانسي الإلقاح hemozygot
ويمكن أن يرمز للخضاب في هذه الحالة بـ HbSS.
يختلف الخضاب (HbS) عن الخضاب الكهلي (HbA) بأن السلسلة الغلوبينية بيتا β تحوي الحمض الأميني المدعو valine في الموضع (6) بدل الحمض الأميني المدعو Glutamic acid في الخضاب HbA ومن أجل تشخيص هذا الداء يُعمد إلى الخطوات الآتية:
أ - تُعزل المورثة المرمزة للسلسلة الغلوبينية β من خلية منواة (ليس من الكريات الحمراء وليس من الصفيحات) ويمكن أن تكون هذه الخلية مأخوذة من الجنين بطريقة مناسبة، ومن ثم يستخلص الدنا منها.
ب - يُقطّع حمض النوى المعزول إلى كسرات بوساطة أنزيمات تحديد وتقييد خاصة أو تكثير هذه الكسرات بتقنية الـPCR.
ت - يُجرى رحلان كهربائي للكسرات على هلامة الآغار.
ث - تُظهر العصابات المفرقة على هلامة الآغار بوساطة مسبار خاص.
ج - يُعمل شاهد مراقبة من مورثة نظامية.[1]
ح - تكون النتائج على الشكل الآتي:
المصادر
- Keith Roberts, Martin Raff, Bruce Alberts, Peter Walter, Julian Lewis and Alexander Johnson, Molecular Biology of the Cell 4th Edition, Routledge, March, 2002, hardcover, 1616 pages, 7.6 pounds, ISBN 0-8153-3218-1
انظر أيضا
- تاريخ الكيمياء الحيوية
- تاريخ علم الأحياء الجزيئي
- History of RNA biology
- Nucleic acid simulations
- علم الأحياء الجزيئي
- Nucleic acid structure
- Nucleic acid methods
- Nucleic acid thermodynamics
- Oligonucleotide synthesis
- Quantification of nucleic acids
المراجع
- Wolfram Saenger, Principles of Nucleic Acid Structure, 1984, Springer-Verlag New York Inc.
- Keith Roberts, Martin Raff, Bruce Alberts, Peter Walter, Julian Lewis and Alexander Johnson, Molecular Biology of the Cell 4th Edition, Routledge, March, 2002, hardcover, 1616 pages, 7.6 pounds, ISBN 0-8153-3218-1
وصلات خارجية
- Interview with Aaron Klug, Nobel Laureate for structural elucidation of biologically important nucleic-acid protein complexes provided by the Vega Science Trust.
- Nucleic Acid Research Journal
- UC Berkeley video lecture on nucleic acids
- ^ محمود دلول. "الحموض النووية". الموسوعة العربية.

