طلاء مانع للانعكاس
الطلاء المضاد للانعكاس في البصريات هو غشاء رقيق أو مرشح بصري تداخلي مؤلف من طبقة واحدة أو عدة طبقات شفافة تقوم بخفض انعكاس الضوء من قبل سطح ما بهدف تحسين خصائصه مثل رفع نفوذيته في الأجهزة البصرية والنظارات الطبية أو رفع امتصاصه كما في الخلايا الكهرضوئية (الشمسية).
تختلف مضادات العاكسية بحسب المجال الطيفي فمنها ما يكون في المجال المرئي كالنظارات الطبية وكاميرات التصوير أو فوق البنفسجي كأجهزة تصنيع الدارات الإلكترونية أو تحت الأحمر كما في أجهزة التصوير الليلي، ومنها ما قد يجمع عدة مجالات طيفية معاً كالخلايا الشمسية التي تحتاج إلى زيادة الفعالية في المجال المرئي والمجال تحت الأحمر القريب.
تعريف
يتألف النظام البصري عادة من عدد من العناصر البصرية المنفذة للضوء، ويعكس كل سطح نحو 4% من الطاقة الواردة عليه، سواءً انتقل الضوء من الهواء إلى الزجاج أم من الزجاج إلى الهواء، وهذا يعني أن كل عدسة مثلاً ستعكس نحو 8% من الطاقة، وتزداد هذه القيمة مع زيادة قرينة انكسار العنصر البصري، لذلك فإن مثل هذه الخسارة غير مقبولة في الأنظمة الضوئية الحديثة، أضف إلى ذلك حدوث تشوه في الخيال الذي تشكله هذه الأنظمة بسبب الانعكاسات المضاعفة داخلها.
تاريخ
يعود تصنيع أول مضاد عاكسية إلى ألكسندر سماكولا Alexander Smakula عام 1935 في شركة كارل زايس الألمانية. وقد استخدم في أجهزة الاستطلاع الحربية في الحرب العالمية الثانية من قبل الجيش الألماني، ثم تم اكتشافه من قبل بقية جيوش الحلفاء.
وتعددت بعدها تطبيقاته وتصاميمه لتعم الأجهزة البصرية المستخدمة في كل المجالات.
النظرية
من أجل طول موجي وحيد، إذا أردنا أن نطلي غشاءاً مضاداً للعاكسية مؤلفاُ من طبقة واحدة، يجب أن تكون السماكة البصرية (وهي جداء قرينة الانكسار بالسماكة الفيزيائية) لهذه الطبقة مساوية لربع طول هذه الموجة، وقرينة انكسار المادة المؤلفة منها مساوية للمعدل الهندسي لقرينتي انكسار الوسط الذي يرد منه الضوء والوسط الذي يرد عليه الضوء.
- .
الانعكاس
تهدف عملية ترسيب الطلاء المانع للانعكاس anti- reflection coating على السطوح البصرية إلى تقليل العاكسية إلى الحد الأدنى ضمن مجال طيفي محدد، مما يؤدي إلى تحسين النفوذية و تحسين جودة الخيال المتشكل.
لفهم دور الطلاء المانع للانعكاس يجب التعامل مع الضوء كموجة كهرمغنطيسية ذات سعة وطور، وتعبر السعة عن شدة الحقل الكهرمغنطيسي، في حين يعبر الطور عن المسافة الضوئية المقطوعة، والعبارة الرياضية التي تصف انتشار الموجة في الاتجاه x بسيطة هي:(شكل 1)- ( شكل 2)
وحيث n قرينة انكسار الوسط، أو اختصاراً القرينة وf التواتر، وλ طول الموجة وE الحقل الكهربائي. ويدعى المقدار nx المسافة الضوئية.
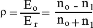
لدى انتقال موجة ضوئية من وسط قرينته n0 إلى وسط آخر قرينتهn1، فإن الموجة، نتيجة لاستمرار الحقل الكهرمغنطيسي، تنعكس بمعامل عاكسية للسعة يعطى بعلاقة فرينل Fresnel:( شكل 3) وتكون نسبة الطاقة المنعكسة أو اختصاراً العاكسية ممثلة ب (شكل 4)
عندما تكون n0 > n1 فإن ρ < 0 أي أن الموجة المنعكسة تختلف في الطور بمقدار π عن الموجة الواردة. فمثلاً: من أجل الانتقال من الهواءn0=1 إلى الزجاج البصري BK7 حيث ng =1.52 فإن r =- 0.206 بينما R =4.2%.
الطلاء المانع للانعكاس ذو طبقة واحدة
لدراسة إمكانية التخلص من العاكسية من أجل طول موجة وحيد λ0، تُرسب طبقة رقيقة بشكل كاف، كي تكون الموجات المنعكسة مترابطة فيما بينها. هناك أولاً موجة منعكسة على السطح هواء ـ غشاء ، ثم موجة ثانية منعكسة على السطح غشاء ـ زجاج ، وتُهمل الانعكاسات المضاعفة التي تحصل داخل الطبقة. تتداخل هاتان الموجتان في وسط الورود الأساسي، وليكن الهواء، ويُذكر بأن التداخل هو عملية الجمع الجبري التي تحصل للموجتين المنعكستين،حيث إن العين البشرية أو أي حساس آخر لا يتأثر بكل موجة على حده، بل بمحصلة الموجتين ، ولكي يكون التداخل هداماً أي المحصلة معدومة يجب أن يتحقق شرطان:
1-ـ سعة الموجة الأولى المنعكسة عن السطح الفاصل هواء ـ غشاء تساوي سعة الموجة الثانية المنعكسة عن السطح الفاصل غشاء ـ زجاج، وباستخدام علاقة فرينل نجد: (شكل 7)
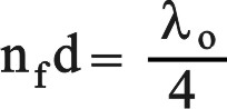
حيث: nf قرينة انكسار الغشاء،ng قرينة انكسار الزجاج، n0 قرينة انكسار وسط الورود.
2ـ فرق الطور بين الموجتين مقداره Δϕ = π، وينشأ هذا الفرق نتيجة لمرور الضوء ذهاباً وإياباً عبر الغشاء، ومنه السماكة الضوئية للطبقة المرسبة تساوي ربع طول موجة أي:(شكل 8)حيث d السماكة الهندسية للطبقة، انظر المخطط الشعاعي (الشكل ـ 1) الذي يمثل الوضع النسبي للموجتين المنعكستين من أجل λ = λ0.
مثال: تسقط موجة ضوئية ذات طول الموجة (1nm=10-9m)λ0= 500nm من الهواء n0=1 على الزجاج نوع BK7 حيث ng=1.52، فمن الشرط الثاني يتبين أن nf. d=125nm، ومن الشرط الأول يتبين أن nf=1.23، ولكن لا توجد في الطبيعة مادة بهذه القرينة الصغيرة جداً، وأصغر قرينة متوفرة وتتمتع بثبات جيد هي قرينة فلوريد المغنزيوم MgF2 حيث nMgF2=1.38. لذلك يُكتفي بتحقيق الشرط الثاني أي بسماكة ضوئية optical thickness واختصاراً Op-Th، للطبقة المرسبة مقدارها والتي تخفِّض العاكسية إلى R =1.2%. ويمثل الطلاء بـ:(شكل 9)
يبين المنحني (1) في الشكل 4 تغير العاكسية الطاقية بدلالة طول الموجة، ويُلاحظ أن العاكسية تزداد بسرعة مع ابتعاد طول الموجة عن λ0≈ 500nm وستُناقش هذه المسألة لاحقاً.
طلاءات التداخل
الطلاء المانع للانعكاس بطبقتين
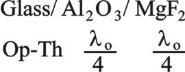
في المثال السابق لم تنعدم العاكسية لأن سعة الموجة المنعكسة على السطح هواء ـ غشاء أكبر من سعة الموجة المنعكسة عن السطح غشاء ـ زجاج، لذلك لابد من إضافة طبقة تولِّد موجة أخرى تسهم في تخفيض العاكسية.تُختار مادة ذات قرينة أكبر قليلاً من قرينة الزجاج وهي مادة أكسيد الألمنيوم Al2O3 حيث n Al2O3=1.65 وبسماكة ضوئية مقدارها ربع طول موجة فتصبح الطبقات كما يأتي:(شكل 10)
ويُلاحظ أن العاكسية تزداد بسرعة مع ابتعاد طول الموجة عن λ0. ويوضح المخطط الشعاعي (الشكل ـ2) الأمواج المنعكسة في هذه الحالة. حيث يؤدي تغير طول الموجة إلى دوران الشعاعين ، في حين يحافظ الشعاع على اتجاهه مما يؤدي إلى تشكل محصلة تكبر كلما ابتعدنا عن λ0. يبين المنحني (2) في الشكل 4 تغير العاكسية الطاقية بدلالة طول الموجة لهذا الطلاء.
الطلاء المانع للانعكاس بثلاث طبقات
يستخدم هذا الطلاء بكثرة في مختلف الأنظمة البصرية التي تعمل في المجال المرئي، و يهدف الطلاء إلى توسيع مجال العاكسية ليغطي كامل الطيف الذي يمتد من s400nm إلى s700nm. وكما يُلاحظ من المنحنيات الطيفية للعاكسية، فإن المضاد للانعكاس بطبقة أو طبقتين لا يعمل بصورة جيدة إلا في مجال طيفي ضيق حول λ0، ومن هنا تبرز الحاجة إلى توسيع المجال. ولكي يتم ذلك يجب إضافة طبقة ثالثة لكي يصبح المخطط الشعاعي أكثر تناظرا،ً بحيث إذا دارت الأشعة مع تغير طول الموجة، حافظت على حالة تداخل هدام ضمن مجال طيفي عريض بشكل كاف. تُستخدم لذلك مادة قرينة انكسارها عالية مثل أكسيد الزركونيوم ZrO2 حيثnzro2 = 2.0 بسماكة ضوئية مقدارها(شكل 14)
الطبقات كما يأتي:(شكل 15)
يبين المنحني (3) في الشكل 4 تغير العاكسية الطاقية بدلالة طول الموجة لهذا الطلاء. ويوضح الشكل (3) المخطط الشعاعي للأمواج المنعكسة في هذه الحالة.
ترسيب الطبقات عملياً: يتم ترسيب الطبقات بطرق كيميائية بوساطة محاليل خاصة، ولكن الطرق الفيزيائية أكثر دقة، وتتمتع بمقاومة عالية للخدش والعوامل الجوية حيث يتم تبخير المادة تحت الخلاء العالي، -s105 ميلي بار، وذلك بتسخينها إلى درجة تبخرها بواسطة مقاومة من التنغستين أو حزمة من الإلكترونات أو بأشعة ليزرية ذات طاقة عالية، وتتم عملية قياس السماكة الضوئية أو الهندسية، في أثناء عملية التبخير.
مبدأ قياس السماكة الضوئية
تقاس السماكة الضوئية بوساطة مقياس ضوئي، بوضع عيّنة زجاجية تترسب عليها المواد المبخَّرة مثل بقية الشرائح المراد طلاؤها، انظر الشكل (5). تعكس هذه العينة حزمة ضوئية واردة عليها، ويرشح الضوء المنعكس للحصول على مجال طيفي ضيق جداً حول λ0، وتراقب قيمة العاكسية التي تتغير أثناء عملية الترسيب حتى تبلغ قيمة صغرى من أجل، كما نلاحظ ذلك من المخطط الشعاعي لطبقة واحدة، ويتم إيقاف التبخير أو الانتقال إلى طبقة تالية لدى مرور العاكسية بقيمة صغرى أو كبرى.
مبدأ قياس السماكة الهندسية
من الممكن استخدام السماكة الهندسية لقياس السماكة الضوئية لكون قيمة القرينة معلومة. و يتم ذلك بمقياس مجهز بحساس من بلورة الكوارتز التي يتعلق تواتر اهتزازها الأساسي بكتلة الحساس الآنية. ويحصل انزياح لتواتر الحساس مقداره ΔF أثناء عملية الترسيب متناسب مع الكتلة المضافة Δm، مما يمكن من حساب السماكة d. ويمكن اختصار ذلك التناسب بالعلاقة الآتية: d ≈ αΔm ≈ βΔF.
ويمكن الاستفادة من قياس السماكة الهندسية لحساب معدل التبخير، ومن ثَمَّ للتحكم به. ويؤدي هذا الم
المصادر
انظر أيضاً
- Thin-film interference
- Lens flare, which AR coating helps to reduce.
- Anti-scratch coating
- Dichroic filter
المراجع
- Hecht, E. (1987). Optics (2nd ed.). Addison–Wesley. ISBN 0-201-11609-X.






