ألستينيب

(تم التحويل من Alectinib)
ألستينيب
Alectinib structure.svg
البيانات السريرية
النُطق []əˈlɛktɪnɪb[] ə-LEK-ti-nib
الأسماء التجاريةAlecensa
AHFS/Drugs.comalecensa
License data
مسارات
الدواء
عن طريق الفم (كپسول)
رمز ATC
الحالة القانونية
الحالة القانونية
بيانات الحركية الدوائية
التوافر الحيوي37% (بشروط)
ارتباط الپروتين>99%
الأيضبصفة رئيسية CYP3A4
المستقلباتM4 (نشط)
Elimination half-life33 ساعة (ألسنتيب)، 31 ساعة (M4)
الإخراجالبراز (98%)[1]
المعرفات
رقم CAS
PubChem CID
DrugBank
ChemSpider
UNII
KEGG
ChEBI
CompTox Dashboard (EPA)
ECHA InfoCard100.256.083 Edit this at Wikidata
Chemical and physical data
التركيبC30H34N4O2
الكتلة المولية482.62 گ/مول
3D model (JSmol)
ألسنسا 150 ملج.

ألستينيب Alectinib (INN،[2] يباع باسم ألسنسا Alecensa)، هو دواء يؤخذ عن طريق الفم يعمل على منع نشاط anaplastic lymphoma kinase (ALK)[3][4] ويستخدم لعلاج سرطان اللجنة ذو الخلايات الغير صغيرة (NSCLC). طورتها تشوگاي للأدوية، اليابان، وهي جزء من مجموعة هوفمان-لا روش.


الموافقات والاستخدامات الطبية

تمت الموافقة على ألستينيب في اليابان في يوليو 2014[5] لعلاج ALK fusion-gene positive، الغير مستقر سرطان الرئة ذو الخلايا الصغيرة المتقدم أو المتكرر (NSCLC).[4]

تمت الموافقة على الدواء من قبل ادارة الغذاء والدواء في ديسمبر 2015 لعلاج الحالات المصابة ALK-positive NSCLC الذين ازدادت حالتهم سوءاً بعد، أو الذين لا يستطيعون تحمل، العلاج بالكريزوتينيب (إكسالكوري).[3]

حصل على موافقة مشروطة من وكالة الأدوية الأوروپية في فبراير 2017 لعلاج نفس الأعراض. يعني هذا أن هناك المزيد من الدراسات والتي بحاجة لتأكيد نسبة-الخطر-الفائدة الإيجابي.[6]

كانت الموافقات معتمدة بصفة رئيسية على تجربتين: الأولى هي تجربة المرحلة 1-2 اليابانية، بعد حوالي سنتين، 19.6% من المرضى استجابوا بشكل كامل، ونسبة progression-free survival للسنتين كانت 76%.[4] في فبراير 2016، قارنت دراسة المرحلة الثالثة جيه-ألكس دواء الألستينيب والكريزوتينيب والذي كان يستخدم من قبل لأن التحليل المرحلي أظهر أن progression-free survival كان أطول مع استخدام الألستينيب.[7]

موانع الاستخدام

ليس هناك موانع استخدام بموجب الموافقة الأمريكية.[8] لم يكن للموافقة الأوروپية سوى ملاحظة افتراضية عن فرط التحسس كمانع للاستخدام.[9]

الآثار الجانبية

بغض النظر عن الآثار المعدية المعوية الغير محددة مثل الإمساك (في 34% من الحالات) والغثيان (22%)، تشمل الآثار السلبية المشتركة في الدراسات الاستسقاء (التورم؛ 34%)، آلام العضلات (31%)، فقر الدم، اضطرابات الرؤية، الحساسية للضوء والطفح الجلدي (جميعها أقل من 20%).[10] تحدث الآثار الجانبية الخطرة في حوالي 19% من المرضى؛ والقاتلة بنسبة 2.8%.[8]

التداخلات الدوائية

الخصائص الدوائية

آلية العمل

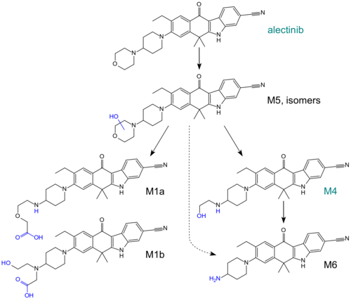
الحركة الدوائية

Proposed metabolism of alectinib. Alectinib itself and the active metabolite M4 are the main compounds found in the circulation, while the others are minor metabolites.[11]



الكيمياء

المصادر

  1. ^ "Alecensa (alectinib) Capsules, for Oral Use. Full Prescribing Information" (PDF). Genentech USA, Inc. Retrieved 8 February 2017.
  2. ^ "International Nonproprietary Names for Pharmaceutical Substances (INN). Recommended International Nonproprietary Names: List 70" (PDF). World Health Organization. p. 279. Retrieved 8 February 2017.
  3. ^ أ ب New Oral Therapy To Treat ALK-Positive Lung Cancer. Dec 2015
  4. ^ أ ب ت McKeage, Kate (2014). "Alectinib: A Review of Its Use in Advanced ALK-Rearranged Non-Small Cell Lung Cancer". Drugs. 75 (1): 75–82. doi:10.1007/s40265-014-0329-y. ISSN 0012-6667. PMID 25428710.
  5. ^ Japan becomes first country to approve Roche’s alectinib for people with a specific form of advanced lung cancer
  6. ^ "Alecensa authorisation details". European Medicines Agency. 16 February 2017.
  7. ^ Chugai’s ALK Inhibitor “Alecensa” Trial Stopped Early for Benefit. Feb 2016
  8. ^ أ ب FDA Professional Drug Information على ألسينسا.
  9. ^ خطأ استشهاد: وسم <ref> غير صحيح؛ لا نص تم توفيره للمراجع المسماة EMA
  10. ^ Haberfeld, H, ed. (2017). Austria-Codex (in German). Vienna: Österreichischer Apothekerverlag. Alecensa 150 mg Hartkapseln.{{cite book}}: CS1 maint: unrecognized language (link)
  11. ^ خطأ استشهاد: وسم <ref> غير صحيح؛ لا نص تم توفيره للمراجع المسماة assessment-report

وصلات خارجية