كاروتين
| الأسماء | |
|---|---|
| اسم أيوپاك
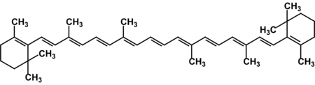
 1,1'-(3,7,12,16-tetrametiloctadeca-1,3,5,7,9,11,13,15,17-1,18-diyl)bis[2,6,6-trimetil-ciclohexeno] 
 | |
| أسماء أخرى
 Amarillo Natural 26 
Provitamina A  | |
| المُعرِّفات | |
| رقم CAS | |
PubChem CID 
 | 
|
| رقم RTECS | 
  | 
| الخصائص | |
| الصيغة الجزيئية | C40H56 | 
| المظهر | بلورات لونها أحمر-برتقالي | 
| الكثافة | 941 | 
| قابلية الذوبان في الماء | غير قابل للذوبان في المذيبات الدهنية، أسيتون، بنزين، كلوروفورم، éter dietílico, metanol, sulfuro de carbono. Moderadamente soluble en éteres de petróleo y aceites. | 
| المخاطر | |
| NFPA 704 (معيـَّن النار) | |
ما لم يُذكر غير ذلك، البيانات المعطاة للمواد في حالاتهم العيارية (عند 25 °س [77 °ف]، 100 kPa).  | |
| مراجع الجدول | |
الكاروتينات هى عبارة عن تربينات, صبغة بناء ضوئي لها لون برتقالي مهمة لعمليات البناء الضوئي.
وهي سبب وجود اللون في الجزر, ويسبب لمن يأكل منه كميات كبيرة ليضبح لونهم أصفر قليلا. وهو لا يساهم بنشاط في البناء الضوئي, ولكنه ينقل الطاقة التى يمتصها لليخضور.
الكاروتين عبارة عن ثنائيات من فيتامين أ وله شكلين, α, وβ-كاروتين. ويمكن للنوعين أن يحفظا في الكبد, وبعكس فيتامين إيه، فالزيادة من الكاروتين ليست سامة ويمكن أن تتحول إلى فيتامين آي عند الحاجة له.
ألفا-كاروتين
بيتا-كاروتين
بيتا-كاروتين يمكن أن يتواجد في الفاكهة الصفراء, والبرتقالية, والخضرا, وكذلك في الخضروات. ومنها السبانخ, الخس, الطماطم, البطاطا, الشمام, القرع. وكقاعدة عامة يزيد اللون في الفاكهة او الخضروات كلما زادت كمية بيتا-كاروتين الموجودة بها.
بيتا-كاروتين من المواد المانعة للأكسدة وتستخدم للتخلص من الزيادة التى قدد تسبب ضرر من الجذور الحرة في الجسم. وعموما فإنه من فوائد بيتا-كاروتين من المواد التى تساعد أثناء إتباع أنظمة الحمية الغذائية (يؤخذ غلى هيئة أقراص) وأن كان هناك شك في ذلك. بيتا-كاروتين أيضا يذوب في الدهون, ولذا فإنه يتطلب وجود كمية من هذه الدهون في الجسم حتى يذوب.
وصلات خارجية
- موقع البيتا-كاروتين بواسطة مارثا إيفينز, مدرسة الكيمياء, جامعة بريستول
 - دليل بيركلي ويلنيس لمنتجات الحمية الغذائية
 - البيتا-كاروتين, جامعة ماريلاند
 
المصادر
- ويكيبيديا الإنجليزية.
 
